首页 | 客服 | 上传赚现
AI助手
德优题库AI助手

AI助手

搜题▪组卷

(1)

服务热线

400-816-0029

    自建题库,共享分红

德优题库QQ交流群

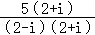
233235. (2023•长安区一中•高二下二月) 若复数z,则|z|=(  )
A.1         
B.      
C..5       
D.5
共享时间:2023-06-26 难度:1
[考点]
复数的模,
[答案]
B
[解析]
解:∵复数z=2+i
∴|z|=
故选:B
[点评]
本题考查了"复数的模,",属于"基础题",熟悉题型是解题的关键。
转载声明:
本题解析属于发布者收集录入,如涉及版权请向平台申诉! !版权申诉
166432. (2024•西工大附中•高三上二月) |2+i2+i3|=(  )
A.       
B.2         
C.3         
D.4
共享时间:2024-12-24 难度:1 相似度:2
168487. (2021•西安中学•三模) 若复数z满足z•(1+i)=﹣2i,则|z|=(  )
A.       
B.       
C..2       
D.
共享时间:2021-04-03 难度:1 相似度:2
233422. (2023•铁一中学•高一下二月) i为虚数单位,若复数z满足z(1+i)=1﹣i,则|z|=(  )
A.0         
B.1         
C.
D..2
共享时间:2023-06-22 难度:1 相似度:2
231057. (2016•西安一中•一模) 设复数z满足z(1+i)=ii为虚数单位),则|z|=(  )
A.        
B.       
C..1       
D.
共享时间:2016-03-14 难度:1 相似度:2
172401. (2022•西安中学•高二下期中) 已知复数z=(i﹣2)i﹣3i3,则|z|=(  )
A.      
B.2      
C.       
D..1
共享时间:2022-05-17 难度:1 相似度:2
171990. (2023•西工大附中•高一下期中) 复数z满足|z|=1,则|z﹣1﹣i|的最大值为(  )
A.    
B..1        
C.       
D.
共享时间:2023-05-10 难度:1 相似度:2
171353. (2023•西安中学•高三上期中) 若复数z(1﹣i)=1+i,则|z|=(  )
A.      
B..1        
C.     
D..2
共享时间:2023-11-22 难度:1 相似度:2
171309. (2023•西安中学•高三上期中) 设复数z满足(1+iz=2i,则|z|=(  )
A.        
B.       
C.       
D..2
共享时间:2023-11-28 难度:1 相似度:2
170470. (2022•西工大附中•高二下期末) 设复数z满足,则|z|=(  )
A.        
B.    
C..9       
D..10
共享时间:2022-07-11 难度:1 相似度:2
170107. (2023•铁一中学•高三上期末) 设(﹣1+2ixy﹣1﹣6ixy∈R,则|xyi|=(  )
A.6         
B.5         
C..4       
D..3
共享时间:2023-02-08 难度:1 相似度:2
170062. (2023•铁一中学•高一下期末) 已知复数zi+i2020,则|z﹣1|等于(  )
A.       
B..1
C..0               
D.2
共享时间:2023-07-06 难度:1 相似度:2
169399. (2024•西安中学•高三上期末) 若复数z满足z(1+i)=2i,则|z|=(  )
A.       
B.2         
C.     
D..3
共享时间:2024-02-27 难度:1 相似度:2
169016. (2020•西安中学•三模) 设复数z满足(1+iz=2i,则|z|=(  )
A.      
B.       
C.     
D..2
共享时间:2020-04-01 难度:1 相似度:2
171202. (2024•师大附中•高一下期中) 设复数z满足i,则|z|=(  )
A.1         
B.       
C..3       
D.
共享时间:2024-05-18 难度:1 相似度:2
168418. (2021•西安中学•七模) 复数z满足z•(1+i)=2i,则|z﹣2i|=(  )
A.     
B.    
C.     
D.
共享时间:2021-06-06 难度:1 相似度:2

dygzsxyn

2023-06-26

高中数学 | 高二下 | 选择题

  • 下载量
  • 浏览量
  • 收益额
  • 0
  • 4
  • 0
相同试题
试题下载
试题内容
调用试题名称
共享人
唐老师
试题题型
解答题
试题难度
试题题源
2020*西工大*期末
下载次数
168次
下载金币
5德优币(当前结余18德优币)
温馨提示
该试题下载至自主题库后,下载、备课永久免费!
试卷设置
试卷名称
省市校区
阶段科目
年份卷型
选择类型
已选考点
在线训练
视频讲解
温馨提示
视频讲解正在加载中、请等待!
温馨提示
对不起!这是别人共享的试题,需要下载到自主题库后,可将该试题添加到白板
视频解析购买
支付方式
德优币数
本次消耗0德优币
温馨提示

客服电话:400-816-0029,服务邮箱:610066832@qq.com

视频资源

试题找茬
纠错类型
纠错描述
温馨提示
共享试题、试卷经平台审核通过后方可展示,并永久享用用户下载分红权!