首页 | 客服 | 上传赚现
AI助手
德优题库AI助手

AI助手

搜题▪组卷

(1)

服务热线

400-816-0029

    自建题库,共享分红

德优题库QQ交流群

232444. (2023•庆安中学(高)•高一上一月) 某商家准备促销某商品,根据市场调查,当该商品的售价定为x元时,销售量可达到(12﹣0.1x)万件.已知该商品的供货价格分为固定价格和浮动价格两部分.其中固定价格为20元/件,浮动价格(单位:元/件)与销售量(单位:万件)成反比,比例系数为10.假设不计其他成本,即销售每件商品的利润=售价﹣供货价格.
(1)当每件商品的售价定为40元时,求该商家所获得的总利润;
(2)该商品的售价定为多少元时,单件商品的利润最大?
共享时间:2023-10-18 难度:1
[考点]
根据实际问题选择函数类型,
[答案]
(1)总利润为150万元;
(2)110元.
[解析]
解:(1)当每件商品的售价定为40元时,销售量为12﹣0.1×40=8万件,
该商家所获得的总利润为万元;
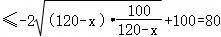
(2)该商品的售价定为x元,由得0<x<120,
设单件商品的利润为P元,

当且仅当x=110时,等号成立,
所以该商品的售价定为110元时,单件商品的利润最大,最大值为80元.
[点评]
本题考查了"根据实际问题选择函数类型,",属于"基础题",熟悉题型是解题的关键。
转载声明:
本题解析属于发布者收集录入,如涉及版权请向平台申诉! !版权申诉
22112. (2021•西安中学•二模) 某地区进行疾病普查,为此要检验每一人的血液,如果当地有N人,若逐个检验就需要检验N次,为了减少检验的工作量,我们把受检验者分组,假设每组有k个人,把这k个人的血液混合在一起检验,若检验结果为阴性,这k个人的血液全为阴性,因而这k个人只要检验一次就够了,如果为阳性,为了明确这k个人中究竟是哪几个人为阳性,就要对这k个人再逐个进行检验,这时k个人的检验次数为k+1次,假设在接受检验的人群中,每个人的检验结果是阳性还是阴性是独立的,且每个人是阳性结果的概率为p.
(1)为熟悉检验流程,先对3个人进行逐个检验,若p=0.1,求3人中恰好有1人检测结果为阳性的概率;
(Ⅱ)设ξ为k个人一组混合检验时每个人的血需要检验的次数.
①当k=5,P=0.1时,求ξ的分布列;
②试运用统计概率的相关知识,求当k和p满足什么关系时,用分组的办法能减少检验次数.
共享时间:2021-03-18 难度:4 相似度:2
171698. (2023•西安八十五中•高一上期中) 经济订货批量模型,是目前大多数工厂、企业等最常采用的订货方式,即某种物资在单位时间的需求量为某常数,经过某段时间后,存储量消耗下降到零,此时开始订货并随即到货,然后开始下一个存储周期,该模型适用于整批间隔进货、不允许缺货的存储问题,具体如下:年存储成本费T(元)关于每次订货x(单位)的函数关系为,其中A为年需求量,B为每单位物资的年存储费,C为每次订货费.某化工厂需用甲醇作为原料,年需求量为6000吨,每吨存储费为120元/年,每次订货费为2500元.
(1)若该化工厂每次订购300吨甲醇,求年存储成本费;
(2)每次需订购多少吨甲醇,可使该化工厂年存储成本费最少?最少费用为多少?
共享时间:2023-11-22 难度:1 相似度:2
170506. (2022•高新一中•高一上期末) 某企业欲做一个介绍企业发展史的铭牌,铭牌的截面形状是如图所示的扇形环面(由扇形OAD挖去扇形OBC后构成的).已知OA=10米,OBx米(0<x<10),线段BA、线段CD与弧、弧的长度之和为30米,圆心角为θ弧度.
(1)求θ关于x的函数解析式;
(2)记铭牌的截面面积为y,试问x取何值时,y的值最大?并求出最大值.

共享时间:2022-02-10 难度:1 相似度:2
170621. (2021•长安区一中•高一上期末) 某公园欲将如图所示的一块矩形空地MNDC进行重新规划,拟在边长为10m的正方形EFGH内种植红色郁金香,正方形ABCD的剩余部分(即四个直角三角形内)种植黄色郁金香.现要将以AB为一边长的矩形ABMN改造为绿色草坪,要求绿色草坪的面积等于黄色郁金香的面积,设∠GFB=θ,ANym
(1)求y与θ之间的函数关系式;
(2)求AN的最大值.

共享时间:2021-02-11 难度:1 相似度:2
170971. (2024•曲江二中•高一上期中) 如图所示,将一矩形花坛ABCD扩建成一个更大的矩形花园AMPN,要求MAB上,NAD上,且对角线MNC点,已知|AB|=3米,|AD|=2米,设AN的长度为x
(Ⅰ)用x表示AM的长.
(Ⅱ)要使矩形AMPN的面积大于32平方米,求x的取值范围.
(Ⅲ)当AN的长度x是多少时,矩形AMPN的面积最小?并求出最小面积.

共享时间:2024-11-24 难度:1 相似度:2
170989. (2024•庆安中学(高)•高一上期中) 辽阳大果榛子外形美观、果大皮薄,深受消费者欢迎.某辽阳大果榛子网店为回馈新老顾客,提供两种购买大果榛子的优惠方案:第一种方案,每斤的售价为24元,顾客买xx>0)斤,每斤的售价降低x元;第二种方案,顾客买xx>0)斤,每斤的售价为元.已知每位顾客限购9斤大果榛子.设一名顾客按照第一种方案购买大果榛子的付款额为fx)元,按照第二种方案购买大果榛子的付款额为gx)元.
(1)分别求函数fx),gx)的解析式;
(2)已知顾客甲、乙在这家网店均选择了更经济实惠的方案购买大果榛子,甲、乙的付款总额为135元,且甲购买了5斤大果榛子,试问乙购买了多少斤大果榛子?
共享时间:2024-11-30 难度:1 相似度:2
171241. (2023•师大附中•高一上期中) 2023年,8月29日,华为Mate60Pro在华为商城正式上线,成为全球首款支持卫星通话的大众智能手机.其实在2019年5月19日,华为被美国列入实体名单,以所谓科技网络安全为借口,对华为施加多轮制裁.为了进一步增加市场竞争力,华为公司计划在2020年利用新技术生产某款新手机,通过市场分析,生产此款手机全年需投入固定成本300万,每生产x(千部)手机,需另投入成本Rx)万元,且由市场调研知此款手机售价0.7万元,且每年内生产的手机当年能全部销售完.
(1)求出2020年的利润wx)(万元)关于年产量x(千部)的表达式;
(2)2020年年产量为多少(千部)时,企业所获利润最大?最大利润是多少?
共享时间:2023-11-30 难度:1 相似度:2
171527. (2024•高新一中•高一下期中) 某市政府计划在一处河道湿地修建一个公园.湿地公园呈五边形形状,如图所示,其中∠B=∠C=75°,BC长为600米,在BC上选择一点Q作为公园入口,从公园入口出发修建两条绿道QEQF,其中绿道终点EF两点分别在边界ABDC上,且∠BQE=∠CQF=60°.
(Ⅰ)绿道的总长度是否为定值?若是,求出该定值;若不是,请说明理由;
(Ⅱ)为了方便游客,打算在湿地公园原有规划基础上增添一条商业步道EF,若建设绿道平均每米需花费200元,建设商业步道平均每米需花费400元,试求建设绿道与商业步道总花费的最小值.

共享时间:2024-05-26 难度:1 相似度:2
171549. (2023•高新一中•高一上期中) 在2021年的全国两会上,“碳达峰”“碳中和”被首次写入政府工作报告,也进一步成为网络热词.为了减少自身消费的碳排放,节省燃料.经多次实验得到某种型号的汽车每小时耗油量Q(单位:L)与速度v(单位:km/h)(40≤v≤120)的数据关系:

(1)王先生购买了一辆这种型号的汽车接送孩子上学,由于城市道路拥堵,每小时只能行驶40km,王先生家距离学校路程为8km,王先生早上开车送孩子到学校,晚上开车接回家,求王先生每天开车接送孩子的耗油量;
(2)周末,王先生开车带全家到周边游玩,经过一段长度为100km平坦的高速公路(匀速行驶),这辆车应以什么速度在这段高速公路行驶才能使总耗油量最少?
共享时间:2023-11-13 难度:1 相似度:2
171570. (2023•滨河中学•高一上期中) 杭州亚运会田径比赛10月5日迎来收官,在最后两个竞技项目男女马拉松比赛中,中国选手何杰以2小时13分02秒夺得男子组冠军,这是中国队亚运史上首枚男子马拉松金牌.人类长跑运动一般分为两个阶段,第一阶段为前1小时的稳定阶段,第二阶段为疲劳阶段.现一60kg的复健马拉松运动员进行4小时长跑训练,假设其稳定阶段作速度为v1=30km/h的匀速运动,该阶段每千克体重消耗体力ΔQ1t1×2v1t1表示该阶段所用时间),疲劳阶段由于体力消耗过大变为v2=30﹣10t2的减速运动(t2表示该阶段所用时间).疲劳阶段速度降低,体力得到一定恢复,该阶段每千克体重消耗体力,已知该运动员初始体力为Q0=10000kJ,不考虑其他因素,所用时间为t(单位:h),请回答下列问题:
(1)请写出该运动员剩余体力Q关于时间t的函数Qt);
(2)该运动员在4小时内何时体力达到最低值?最低值为多少?
共享时间:2023-11-16 难度:1 相似度:2
171759. (2022•师大附中•高一上期中) 通过研究学生的学习行为,心理学家发现,学生的接受能力依赖于教师引入概念和描述问题所用的时间.讲座开始时,学生的兴趣激增;中间有一段不太长的时间,学生的兴趣保持较理想的状态,随后学生的注意力开始分散.分析结果和实验表明,用fx)表示学生的接受能力,x表示引入概念和描述问题所用的时间(单位:分钟),可有以下的公式:
fx)=
(1)开讲后多少分钟,学生的接受能力最强?能维持多长时间?
(2)一道数学难题,需要55的接受能力以及13分钟,教师能否及时在学生一直达到所需接受能力的状态下讲授完这道难题?
共享时间:2022-11-26 难度:1 相似度:2
170258. (2023•西安六中•高一上期末) 在新型冠状病毒感染的肺炎治疗过程中,需要某医药公司生产的某种药品.此药品的年固定成本为200万元,每生产x千件需另投入成本Cx),当年产量不足60千件时,(万元),当年产量不小于60千件时,(万元).每千件商品售价为50万元,在疫情期间,该公司生产的药品能全部售完.
(1)写出利润Lx)(万元)关于年产量x(千件)的函数解析式;
(2)该公司决定将此药品所获利润的10%用来捐赠防疫物资,当年产量为多少千件时,在这一药品的生产中所获利润最大?此时可捐赠多少万元的物资款?
共享时间:2023-02-09 难度:1 相似度:2
171761. (2022•师大附中•高一上期中) 如图所示,将一个矩形花坛ABCD扩建成一个更大的矩形花坛AMPN,要求M在射线AB上,N在射线AD上,且对角线MNC点.已知AB=6米,AD=4米,设AN的长为x米,且要求AM的长不少于9米.
(1)设矩形花坛AMPN的面积为y,试求函数yfx)的解析式及其定义域;
(2)求当AN的长度分别是多少时,矩形花坛AMPN的面积最小,并求出此最小值.

共享时间:2022-11-26 难度:1 相似度:2
171826. (2022•西安中学•高一上期中) 为响应国家创新驱动发展战略,武汉市某高科技产业公司通过自主研发,将某一款高科技产品投入市场.已知2022年,生产此款产品预计全年需投入固定成本260万元,生产x千件产品,需另投入资金R万元,且.现每台产品售价为0.9万元时,当年内生产的产品当年能全部销售完.
(1)求2022年该企业年利润W(万元)关于年产量x(千件)的函数关系式;
(2)2022年产量为多少时,该企业所获年利润最大?最大年利润为多少?
(注:利润=销售额﹣成本)
共享时间:2022-11-28 难度:1 相似度:2
171915. (2022•长安区一中•高一上期中) 随着城市居民汽车使用率的增加,交通拥堵问题日益严重,而建设高架道路、地下隧道以及城市轨道公共运输系统等是解决交通拥堵问题的有效措施.某市城市规划部门为提高早晚高峰期间某条地下隧道的车辆通行能力,研究了该隧道内的车流速度v(单位:千米/小时)和车流密度x(单位:辆/千米)所满足的关系式:.研究表明:当隧道内的车流密度达到120辆/千米时造成堵塞,此时车流速度是0千米/小时.
(1)若车流速度v不小于40千米/小时,求车流密度x的取值范围;
(2)隧道内的车流量y(单位时间内通过隧道的车辆数,单位:辆/小时)满足yxv,求隧道内车流量的最大值(精确到1辆/小时),并指出当车流量最大时的车流密度(精确到1辆/千米).(参考数据:
共享时间:2022-11-19 难度:1 相似度:2

dygzsxyn

2023-10-18

高中数学 | 高一上 | 解答题

  • 下载量
  • 浏览量
  • 收益额
  • 0
  • 3
  • 0
相同试题
试题下载
试题内容
调用试题名称
共享人
唐老师
试题题型
解答题
试题难度
试题题源
2020*西工大*期末
下载次数
168次
下载金币
5德优币(当前结余18德优币)
温馨提示
该试题下载至自主题库后,下载、备课永久免费!
试卷设置
试卷名称
省市校区
阶段科目
年份卷型
选择类型
已选考点
在线训练
视频讲解
温馨提示
视频讲解正在加载中、请等待!
温馨提示
对不起!这是别人共享的试题,需要下载到自主题库后,可将该试题添加到白板
视频解析购买
支付方式
德优币数
本次消耗0德优币
温馨提示

客服电话:400-816-0029,服务邮箱:610066832@qq.com

视频资源

试题找茬
纠错类型
纠错描述
温馨提示
共享试题、试卷经平台审核通过后方可展示,并永久享用用户下载分红权!