首页 | 客服 | 上传赚现
AI助手
德优题库AI助手

AI助手

搜题▪组卷

(1)

服务热线

400-816-0029

    自建题库,共享分红

德优题库QQ交流群

232312. (2023•铁一中学•高三上一月) 已知双曲线C的左焦点为F,右顶点为A,渐近线方程为y=±xF到渐近线的距离为
(Ⅰ)求C的方程;
(Ⅱ)若直线lF,且与C交于PQ两点(异于C的两个顶点),直线xt与直线APAQ的交点分别为MN.是否存在实数t,使得|+|=||?若存在,求出t的值;若不存在,请说明理由.
共享时间:2023-10-13 难度:5
[考点]
双曲线的渐近线,
[答案]
(Ⅰ)
(Ⅱ)存在这样的实数满足题意.
[解析]
解:(Ⅰ)由题意可知,又焦点(﹣c,0)到的距离为,所以c=2,
所以a2+b2=4,解得a=1,
所以C的方程为
(Ⅱ)存在这样的实数
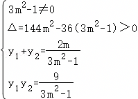
由题意知直线l斜率不为0,可设直线l的方程为xmy﹣2,设Px1y1),Qx2y2),
联立方程,得(3m2﹣1)y2﹣12my+9=0,
由韦达定理,
直线,直线
xt时,可得
,则
可得

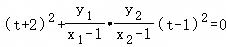
因为(x1﹣1)(x2﹣1)=x1x2﹣(x1+x2)+1=(my1﹣2)(my2﹣2)﹣(my1﹣2+my2﹣2)+1=
所以(t+2)2﹣(t﹣1)2=0,可得
所以存在这样的实数满足题意.
[点评]
本题考查了"",属于"压轴题",熟悉题型是解题的关键。
转载声明:
本题解析属于发布者收集录入,如涉及版权请向平台申诉! !版权申诉

dygzsxyn

2023-10-13

高中数学 | 高三上 | 解答题

  • 下载量
  • 浏览量
  • 收益额
  • 0
  • 3
  • 0
相同试题
试题下载
试题内容
调用试题名称
共享人
唐老师
试题题型
解答题
试题难度
试题题源
2020*西工大*期末
下载次数
168次
下载金币
5德优币(当前结余18德优币)
温馨提示
该试题下载至自主题库后,下载、备课永久免费!
试卷设置
试卷名称
省市校区
阶段科目
年份卷型
选择类型
已选考点
在线训练
视频讲解
温馨提示
视频讲解正在加载中、请等待!
温馨提示
对不起!这是别人共享的试题,需要下载到自主题库后,可将该试题添加到白板
视频解析购买
支付方式
德优币数
本次消耗0德优币
温馨提示

客服电话:400-816-0029,服务邮箱:610066832@qq.com

视频资源

试题找茬
纠错类型
纠错描述
温馨提示
共享试题、试卷经平台审核通过后方可展示,并永久享用用户下载分红权!