首页 | 客服 | 上传赚现
AI助手
德优题库AI助手

AI助手

搜题▪组卷

(1)

服务热线

400-816-0029

    自建题库,共享分红

德优题库QQ交流群

232307. (2023•铁一中学•高三上一月) 已知椭圆和双曲线有相同的焦点F1F2,它们的离心率分别为e1e2,点P为它们的一个交点,且,则的取值范围是       
共享时间:2023-10-13 难度:2
[考点]
椭圆的几何特征,双曲线的几何特征,
[答案]
(2,+∞).
[解析]
解:设点P为椭圆与双曲线在第一象限的交点,如图,
则|PF1|+|PF2|=2a1,|PF1|﹣|PF2|=2a2
解得|PF1|=a1+a2,|PF2|=a1a2
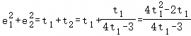
在△F1PF2中,根据余弦定理可得:

,即
,则有0<t1<1<t2
,∴,∴
所以∴
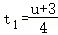
u=4t1﹣3,则,且0<u<1,

又易知在(0,1)上单调递减,
,∴
故答案为:(2,+∞).

[点评]
本题考查了"椭圆的几何特征,双曲线的几何特征,",属于"必考题",熟悉题型是解题的关键。
转载声明:
本题解析属于发布者收集录入,如涉及版权请向平台申诉! !版权申诉
169030. (2020•西安中学•三模) 已知椭圆M+=1(ab>0),双曲线N=1.若双曲线N的两条渐近线与椭圆M的四个交点及椭圆M的两个焦点恰为一个正六边形的顶点,则椭圆M的离心率为        ;双曲线N的离心率为       
共享时间:2020-04-01 难度:2 相似度:2
169327. (2025•西安八十五中•高二上期末) 已知F1F2是椭圆与双曲线的公共焦点,P是它们的一个公共点,且|PF1|>|PF2|,线段PF1的垂直平分线过F2,若椭圆的离心率为e1,双曲线的离心率为e2,则的最小值为      
共享时间:2025-02-15 难度:2 相似度:2
170637. (2021•长安区一中•高二上期末) 已知双曲线的离心率与椭圆的离心率互为倒数,则双曲线的标准方程为        ,双曲线的渐近线方程为         
共享时间:2021-02-28 难度:2 相似度:2
170659. (2021•长安区一中•高二上期末) 如图,中心均为坐标原点O的双曲线与椭圆在x轴上有共同的焦点F1F2,点MN是双曲线的左、右顶点,点AB是椭圆的左、右顶点.若F1MONF2将线段AB六等分,则双曲线与椭圆的离心率的乘积为        

共享时间:2021-02-18 难度:2 相似度:2
166625. (2024•高新一中•二模) 双曲线Γ:=1的左右顶点分别为A1A2,动直线l垂直Γ的实轴,且交Γ于不同的两点MN,直线A1N与直线A2M的交点为P
(1)求点P的轨迹C的方程;
(2)过点H(1,0)作C的两条互相垂直的弦DEFG,证明:过两弦DEFG中点的直线恒过定点.
共享时间:2024-03-18 难度:1 相似度:1.5
166870. (2024•西安八十三中•高二上二月) F1F2为椭圆C+=1的两个焦点,MC上一点且在第一象限.若△MF1F2为等腰三角形,则M的坐标为        
共享时间:2024-12-23 难度:1 相似度:1.5
169964. (2023•长安区一中•高二上期末) 如图,发电厂的冷却塔外形是由双曲线的一部分绕其虚轴所在直线旋转所得到的曲面,该冷却塔总高度为55米,水平方向上塔身最窄处的半径为20米,最高处塔口半径25米,塔底部塔口半径为米,则该双曲线的离心率为        

共享时间:2023-02-13 难度:1 相似度:1.5
170163. (2023•铁一中学•高二上期末) 双曲线=1的右焦点到直线x+2y﹣8=0的距离为      
共享时间:2023-02-15 难度:1 相似度:1.5
170460. (2022•西工大附中•高一下期末) 平面直角坐标系xOy中,双曲线C1=1(a>0,b>0)的渐近线与抛物线C2x2=2pyp>0)交于点OAB,若△OAB的垂心为C2的焦点,则C1的离心率为      
共享时间:2022-07-08 难度:1 相似度:1.5
170483. (2022•西工大附中•高二下期末) 已知双曲线a>0,b>0)的左、右焦点分别为F1F2,点P在双曲线的右支上,且|PF1|=4|PF2|,则此双曲线的离心率e的最大值为        
共享时间:2022-07-11 难度:1 相似度:1.5
170810. (2020•西安中学•高二上期末) P是椭圆+=1上一点,F1F2分别是椭圆的左、右焦点,若|PF1||PF2|=12,则∠F1PF2的大小               
共享时间:2020-02-15 难度:1 相似度:1.5
171006. (2024•华清中学•高二上期中) F1F2为椭圆C+=1的两个焦点,MC上一点且在第一象限.若△MF1F2为等腰三角形,则M的坐标为               
共享时间:2024-11-22 难度:1 相似度:1.5
170911. (2024•滨河中学•高二上期中) 已知双曲线Ca>0,b>0)的左、右焦点分别是F2F2,过点F1的直线与C交于AB两点,且ABF1F2,现将平面AF1F2沿F1F2所在直线折起,点A到达点P处,使面PF1F2⊥面BF1F2,若cos∠PF2B,则双曲线C的离心率为                .
共享时间:2024-11-30 难度:1 相似度:1.5
171063. (2024•高新一中•高二上期中) 历史上第一个研究圆锥曲线的是梅纳库莫斯(公元前375年﹣325年),大约100年后,阿波罗尼斯更详尽、系统地研究了圆锥曲线,并且他还进一步研究了这些圆锥曲线的光学性质:如图甲,从椭圆的一个焦点出发的光线或声波,经椭圆反射后,反射光线经过椭圆的另一个焦点,其中法线l′表示与椭圆C的切线垂直且过相应切点的直线,如图乙,椭圆C的中心在坐标原点,焦点为F1(﹣c,0),F2c,0)(c>0),由F1发出的光经椭圆两次反射后回到F1经过的路程为8c.利用椭圆的光学性质解决以下问题:

(1)椭圆C的离心率为          ;
(2)点P是椭圆C上除顶点外的任意一点,椭圆在点P处的切线为lF2l上的射影H在圆x2+y2=8上,则椭圆C的方程为          

共享时间:2024-11-27 难度:1 相似度:1.5
171389. (2023•西安中学•高二上期中) 已知正方形ABCD,以该正方形其中一边的端点AB为焦点,且过另外CD两点的椭圆的离心率为       
共享时间:2023-11-16 难度:1 相似度:1.5

dygzsxyn

2023-10-13

高中数学 | 高三上 | 填空题

  • 下载量
  • 浏览量
  • 收益额
  • 0
  • 3
  • 0
相同试题
试题下载
试题内容
调用试题名称
共享人
唐老师
试题题型
解答题
试题难度
试题题源
2020*西工大*期末
下载次数
168次
下载金币
5德优币(当前结余18德优币)
温馨提示
该试题下载至自主题库后,下载、备课永久免费!
试卷设置
试卷名称
省市校区
阶段科目
年份卷型
选择类型
已选考点
在线训练
视频讲解
温馨提示
视频讲解正在加载中、请等待!
温馨提示
对不起!这是别人共享的试题,需要下载到自主题库后,可将该试题添加到白板
视频解析购买
支付方式
德优币数
本次消耗0德优币
温馨提示

客服电话:400-816-0029,服务邮箱:610066832@qq.com

视频资源

试题找茬
纠错类型
纠错描述
温馨提示
共享试题、试卷经平台审核通过后方可展示,并永久享用用户下载分红权!