首页 | 客服 | 上传赚现
AI助手
德优题库AI助手

AI助手

搜题▪组卷

(1)

服务热线

400-816-0029

    自建题库,共享分红

德优题库QQ交流群

232241. (2023•铁一中学•高一上二月) 已知集合B={x|2m﹣5≤xm+1}.
(1)若m=1,求∁BA
(2)命题pxA,命题qxB,若qp的必要不充分条件,求实数m的取值范围.
共享时间:2023-12-20 难度:2
[考点]
求集合的补集,充分条件必要条件的应用,
[答案]
(1)[1,2];
(2)[0,1].
[解析]
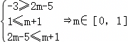
解:(1)易知,即A=[﹣3,1),
m=1时,B=[﹣3,2],
故∁BA=[1,2];
(2)若qp的必要不充分条件,则有集合A是集合B的真子集,

[点评]
本题考查了"求集合的补集,充分条件必要条件的应用,",属于"必考题",熟悉题型是解题的关键。
转载声明:
本题解析属于发布者收集录入,如涉及版权请向平台申诉! !版权申诉

dygzsxyn

2023-12-20

高中数学 | 高一上 | 解答题

  • 下载量
  • 浏览量
  • 收益额
  • 0
  • 3
  • 0
相同试题
试题下载
试题内容
调用试题名称
共享人
唐老师
试题题型
解答题
试题难度
试题题源
2020*西工大*期末
下载次数
168次
下载金币
5德优币(当前结余18德优币)
温馨提示
该试题下载至自主题库后,下载、备课永久免费!
试卷设置
试卷名称
省市校区
阶段科目
年份卷型
选择类型
已选考点
在线训练
视频讲解
温馨提示
视频讲解正在加载中、请等待!
温馨提示
对不起!这是别人共享的试题,需要下载到自主题库后,可将该试题添加到白板
视频解析购买
支付方式
德优币数
本次消耗0德优币
温馨提示

客服电话:400-816-0029,服务邮箱:610066832@qq.com

视频资源

试题找茬
纠错类型
纠错描述
温馨提示
共享试题、试卷经平台审核通过后方可展示,并永久享用用户下载分红权!