首页 | 客服 | 上传赚现
AI助手
德优题库AI助手

AI助手

搜题▪组卷

(1)

服务热线

400-816-0029

    自建题库,共享分红

德优题库QQ交流群

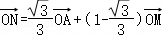
231632. (2015•西工大附中•三模) 已知圆C1的圆心在坐标原点O,且恰好与直线l1x﹣2y+3=0相切,设点A为圆上一动点,AMx轴于点M,且动点N满足+(1﹣,设动点N的轨迹为曲线C
I)求曲线C的方程,
(Ⅱ)直线l与直线l1垂直且与曲线C交于BD两点,求△OBD面积的最大值.
共享时间:2015-04-12 难度:1
[考点]
平面向量的加减混合运算,
[答案]
见试题解答内容
[解析]
解:(Ⅰ)设动点Nxy),Ax0y0),因为AMx轴于M,所以Mx0,0),
设圆C1的方程为x2+y2r2,由题意得,所以圆C1的程为x2+y2=9.
由题意,,所以
所以
代入圆x2+y2=9,得动点N的轨迹方程
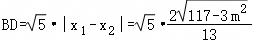
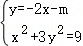
(Ⅱ)由题意可设直线l:2x+y+m=0,设直线l与椭圆交于Bx1y1),Dx2y2),
联立方程得13x2+12mx+3m2﹣9=0,Δ=144m2﹣13×4(3m2﹣9)>0,解得m2<39,
又因为点O到直线l的距离.(当且仅当m2=39﹣m2时取到最大值)
∴△OBD面积的最大值为
[点评]
本题考查了"平面向量的加减混合运算,",属于"基础题",熟悉题型是解题的关键。
转载声明:
本题解析属于发布者收集录入,如涉及版权请向平台申诉! !版权申诉

dygzsxyn

2015-04-12

高中数学 | | 解答题

  • 下载量
  • 浏览量
  • 收益额
  • 0
  • 4
  • 0
相同试题
试题下载
试题内容
调用试题名称
共享人
唐老师
试题题型
解答题
试题难度
试题题源
2020*西工大*期末
下载次数
168次
下载金币
5德优币(当前结余18德优币)
温馨提示
该试题下载至自主题库后,下载、备课永久免费!
试卷设置
试卷名称
省市校区
阶段科目
年份卷型
选择类型
已选考点
在线训练
视频讲解
温馨提示
视频讲解正在加载中、请等待!
温馨提示
对不起!这是别人共享的试题,需要下载到自主题库后,可将该试题添加到白板
视频解析购买
支付方式
德优币数
本次消耗0德优币
温馨提示

客服电话:400-816-0029,服务邮箱:610066832@qq.com

视频资源

试题找茬
纠错类型
纠错描述
温馨提示
共享试题、试卷经平台审核通过后方可展示,并永久享用用户下载分红权!