首页 | 客服 | 上传赚现
AI助手
德优题库AI助手

AI助手

搜题▪组卷

(1)

服务热线

400-816-0029

    自建题库,共享分红

德优题库QQ交流群

231582. (2015•西安一中•二模) .(坐标系与参数方程选做题)已知极坐标的极点在直角坐标系的原点O处,极轴与x轴的正半轴重合,曲线C的参数方程为,直线l的极坐标方程为ρsin(θ﹣)=,则直线l与曲线C的交点个数为      
共享时间:2015-03-23 难度:1
[考点]
参数方程化成普通方程,
[答案]
见试题解答内容
[解析]
解:曲线C的参数方程为,化为=1.
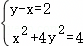
直线l的极坐标方程为ρsin(θ﹣)=,展开化为,∴yx=2.
联立,化为5x2+16x﹣12=0,
Δ=162+4×5×12>0,
则直线l与曲线C的交点个数为2.
故答案为:2.
[点评]
本题考查了"参数方程化成普通方程,",属于"基础题",熟悉题型是解题的关键。
转载声明:
本题解析属于发布者收集录入,如涉及版权请向平台申诉! !版权申诉
231559. (2015•西安一中•二模) (坐标系与参数方程选做题)已知极坐标的极点在直角坐标系的原点O处,极轴与x轴的正半轴重合,曲线C的参数方程为,直线l的极坐标方程为ρsin(θ﹣)=,则直线l与曲线C的交点个数为     
共享时间:2015-03-25 难度:1 相似度:2
236150. (2018•西安中学•高二下期末) 已知曲线C的极坐标方程为ρ=4cosθ,以极点为原点,极轴为x轴的非负半轴建立平面直角坐标系,直线l的参数方程为t为参数),则直线l被曲线C截得的弦长为           
共享时间:2018-07-19 难度:1 相似度:2
236796. (2016•西安中学•高二下期末) 设曲线C的参数方程为(θ是参数,a>0),直线l的极坐标方程为3ρcosθ+4ρsinθ=5,若曲线C与直线l只有一个公共点,则实数a的值是     
共享时间:2016-07-26 难度:1 相似度:2
172392. (2022•西安中学•高二下期中) 直线t为参数)的倾斜角大小为       .
共享时间:2022-05-11 难度:2 相似度:1.5

dygzsxyn

2015-03-23

高中数学 | | 填空题

  • 下载量
  • 浏览量
  • 收益额
  • 0
  • 3
  • 0
相同试题
试题下载
试题内容
调用试题名称
共享人
唐老师
试题题型
解答题
试题难度
试题题源
2020*西工大*期末
下载次数
168次
下载金币
5德优币(当前结余18德优币)
温馨提示
该试题下载至自主题库后,下载、备课永久免费!
试卷设置
试卷名称
省市校区
阶段科目
年份卷型
选择类型
已选考点
在线训练
视频讲解
温馨提示
视频讲解正在加载中、请等待!
温馨提示
对不起!这是别人共享的试题,需要下载到自主题库后,可将该试题添加到白板
视频解析购买
支付方式
德优币数
本次消耗0德优币
温馨提示

客服电话:400-816-0029,服务邮箱:610066832@qq.com

视频资源

试题找茬
纠错类型
纠错描述
温馨提示
共享试题、试卷经平台审核通过后方可展示,并永久享用用户下载分红权!