首页 | 客服 | 上传赚现
AI助手
德优题库AI助手

AI助手

搜题▪组卷

(1)

服务热线

400-816-0029

    自建题库,共享分红

德优题库QQ交流群

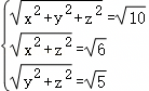
231012. (2017•西安八十三中•二模) 某长方体的三视图如图,长度为的体对角线在正视图中的投影长度为,在侧视图中的投影长度为,则该长方体的全面积为(  )
A.3+2
B..6+4       
C..6       
D..10
共享时间:2017-03-24 难度:5
[考点]
三视图,
[答案]
B
[解析]
解:设长方体的长,宽,高分别为xyz
由题意得:
解得:
故该长方体的表面积S=2(xy+xz+yz)=6+4,
故选:B
[点评]
本题考查了"",属于"压轴题",熟悉题型是解题的关键。
转载声明:
本题解析属于发布者收集录入,如涉及版权请向平台申诉! !版权申诉
167179. (2023•周至四中•一模) 我国古代的宫殿金碧辉煌,设计巧夺天工,如图(1)为北京某宫殿建筑,图(2)为该宫殿某一“柱脚”的三视图,其中小正方形的边长为1,则根据三视图可知,该“柱脚”的表面积为(  )
A.9π+9+9                   
B.18π+18+9 
C.18π+18+18                
D.18π+9+18
共享时间:2023-03-04 难度:5 相似度:2
231429. (2016•西工大附中•六模) 一个正方体被一个平面截去一部分后,剩余部分的三视图如图,则截去部分体积与剩余部分体积的比值为(  )
A.        
B.       
C.      
D.
共享时间:2016-05-25 难度:5 相似度:2
230948. (2017•西工大附中•六模) 如图,网格纸上小正方形的边长为1,粗实线画出的是某多面体的三视图,则该多面体的各条棱中,最长的棱的长度为(  )
A.6      
B..4     
C..6       
D..4
共享时间:2017-05-26 难度:5 相似度:2
230989. (2017•高新一中•一模) 某几何体的三视图如图所示,其中三角形的三边长与圆的直径均为2,则该几何体的体积为(  )
A. 
B.
C. 
D.
共享时间:2017-03-15 难度:5 相似度:2
231061. (2016•西安一中•一模) 某三棱锥的三视图如图所示,则该三棱锥的体积是(  )
A.        
B.         
C.        
D.1
共享时间:2016-03-14 难度:5 相似度:2
231207. (2016•西工大附中•十模) 已知一个棱长为2的正 方体,被一个平面截后所得几何体的三视图如图所示,则该截面的面积为(  )
A.    
B..4        
C.        
D..5
共享时间:2016-06-20 难度:5 相似度:2
231258. (2016•西工大附中•五模) 将正方体(如图1所示)截去两个三棱锥,得到图2所示的几何体,则该几何体的左视图为(  )
A. 
B.
C. 
D.
共享时间:2016-05-11 难度:5 相似度:2
231282. (2016•西工大附中•五模) 已知某几何体的三视图如图所示,则此几何体的体积是(  )
A.        
B.         
C.
D.
共享时间:2016-05-04 难度:5 相似度:2
231332. (2016•西工大附中•十模) 已知一个棱长为2的正 方体,被一个平面截后所得几何体的三视图如图所示,则该截面的面积为(  )
A.    
B..4        
C.      
D..5
共享时间:2016-06-25 难度:5 相似度:2
231409. (2016•西工大附中•六模) 一个正方体被一个平面截去一部分后,剩余部分的三视图如图,则截去部分体积与剩余部分体积的比值为(  )
A.        
B.       
C.      
D.
共享时间:2016-05-26 难度:5 相似度:2
231478. (2016•西工大附中•八模) 一个几何体的三视图如图所示,则这个几何体外接球的表面积为(  )
A..50π    
B.100π      
C.200π     
D..300π
共享时间:2016-06-11 难度:5 相似度:2
167289. (2023•长安区一中•高三上四月) 某几何体的三视图如图所示,其中俯视图为扇形,则该几何体的体积为(  )
A.     
B.   
C.      
D.
共享时间:2023-02-23 难度:5 相似度:2
231501. (2025•西安中学•一模) 如图为一个几何体的三视图,尺寸如图所示,则该几何体的表面积为(  )(不考虑接触点)
A. 
B.
C.
D.32+π
共享时间:2015-03-05 难度:5 相似度:2
231524. (2025•西安一中•一模) 如图为一个几何体的三视图,尺寸如图所示,则该几何体的表面积为(  )(不考虑接触点)
A. 
B.
C. 
D..32+π
共享时间:2015-03-01 难度:5 相似度:2
231547. (2025•西安一中•二模) 已知某个几何体的三视图如图(主视图中的弧线是半圆),根据图中标出的尺寸,可得这个几何体的体积是(单位:cm3)(  )
A..π      
B..2π      
C..4π     
D..8π
共享时间:2015-03-25 难度:5 相似度:2

dygzsxyn

2017-03-24

高中数学 | | 选择题

  • 下载量
  • 浏览量
  • 收益额
  • 0
  • 3
  • 0
相同试题
试题下载
试题内容
调用试题名称
共享人
唐老师
试题题型
解答题
试题难度
试题题源
2020*西工大*期末
下载次数
168次
下载金币
5德优币(当前结余18德优币)
温馨提示
该试题下载至自主题库后,下载、备课永久免费!
试卷设置
试卷名称
省市校区
阶段科目
年份卷型
选择类型
已选考点
在线训练
视频讲解
温馨提示
视频讲解正在加载中、请等待!
温馨提示
对不起!这是别人共享的试题,需要下载到自主题库后,可将该试题添加到白板
视频解析购买
支付方式
德优币数
本次消耗0德优币
温馨提示

客服电话:400-816-0029,服务邮箱:610066832@qq.com

视频资源

试题找茬
纠错类型
纠错描述
温馨提示
共享试题、试卷经平台审核通过后方可展示,并永久享用用户下载分红权!