首页 | 客服 | 上传赚现
AI助手
德优题库AI助手

AI助手

搜题▪组卷

(1)

服务热线

400-816-0029

    自建题库,共享分红

德优题库QQ交流群

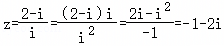
230985. (2017•高新一中•一模) 已知复数z满足zi=2﹣ii为虚数单位,则z=(  )
A.﹣1﹣2i   
B.﹣1+2i     
C.1﹣2i     
D..1+2i
共享时间:2017-03-15 难度:1
[考点]
复数的运算,
[答案]
A
[解析]
解:由zi=2﹣i得,
故选:A
[点评]
本题考查了"复数的运算,",属于"基础题",熟悉题型是解题的关键。
转载声明:
本题解析属于发布者收集录入,如涉及版权请向平台申诉! !版权申诉
19733. (2021•陕西省•乙卷) iz=4+3i,则z=(  )
A.﹣3﹣4i
B.﹣3+4i
C.3﹣4i
D.3+4i
共享时间:2021-06-21 难度:2 相似度:2
167883. (2024•西安八十九中•三模) 已知a∈R,i是虚数单位),若,则a=(  )
A.2         
B.1         
C.      
D.
共享时间:2024-04-02 难度:1 相似度:2
169061. (2020•西工大附中•三模) 复数在复平面内对应的点到原点的距离是(  )
A.       
B.       
C.     
D.
共享时间:2020-04-06 难度:1 相似度:2
169038. (2020•西工大附中•一模) 已知i为虚数单位,复数z在复平面对应点Z在(  )
A.第一象限  
B.第二象限   
C.第三象限  
D..第四象限
共享时间:2020-03-01 难度:1 相似度:2
168854. (2021•西工大附中•十模) 已知i是虚数单位,复数z满足(i+1)zi,则z的虚部是(  )
A.      
B.      
C.    
D.
共享时间:2021-07-03 难度:1 相似度:2
168741. (2021•西安中学•八模) 定义:若复数zz′满足zz′=1,则称复数zz′互为倒数.已知复数zi,则复数z的倒数z′=(  )
A.i
B. 
C. 
D.
共享时间:2021-06-14 难度:1 相似度:2
168585. (2021•西安中学•九模) z∈C且|z+3+4i|≤2,则|z﹣1﹣i|的最大和最小值分别为Mm,则Mm的值等于(  )
A..3       
B..4        
C.5         
D..9
共享时间:2021-06-23 难度:1 相似度:2
168441. (2021•西安中学•七模) 设复数z1z2在复平面内的对应点关于虚轴对称,z1=2+i,则z1z2=(  )
A.﹣5       
B.5         
C.﹣4+i     
D.﹣4﹣i
共享时间:2021-06-02 难度:1 相似度:2
168256. (2021•西安中学•五模) 复数z的虚部为(  )
A.i         
B..﹣i      
C.﹣1       
D.1
共享时间:2021-05-15 难度:1 相似度:2
19755. (2021•陕西省•乙卷) 设2(z+)+3(z)=4+6i,则z=(  )
A.1﹣2i
B.1+2i
C.1+i
D.1﹣i
共享时间:2021-06-21 难度:2 相似度:2
167971. (2023•师大附中•十一模) 如果一个复数的实部和虚部相等,则称这个复数为“等部复数”,若复数i为虚数单位)为“等部复数”,则实数a的值为(  )
A.﹣3       
B.﹣1        
C.0         
D..1
共享时间:2023-07-16 难度:1 相似度:2
167948. (2023•师大附中•十一模) 如果一个复数的实部和虚部相等,则称这个复数为“等部复数”,若复数i为虚数单位)为“等部复数”,则实数a的值为(  )
A.﹣3       
B.﹣1        
C..0       
D.1
共享时间:2023-07-18 难度:1 相似度:2
167925. (2023•师大附中•三模) 已知i为虚数单位,若,则ba=(  )
A..2       
B.       
C.1         
D.
共享时间:2023-04-08 难度:1 相似度:2
169679. (2024•西安八十五中•高一下期末) 已知复数z满足(z﹣1)i=1+i,则z=(  )
A.﹣2﹣i    
B.﹣2+i      
C.2﹣i      
D.2+i
共享时间:2024-07-08 难度:1 相似度:2
167676. (2024•西安中学•五模) 已知复数,则复数z的虚部为(  )
A.       
B.       
C.     
D..﹣2
共享时间:2024-05-09 难度:1 相似度:2

dygzsxyn

2017-03-15

高中数学 | | 选择题

  • 下载量
  • 浏览量
  • 收益额
  • 0
  • 3
  • 0
相同试题
试题下载
试题内容
调用试题名称
共享人
唐老师
试题题型
解答题
试题难度
试题题源
2020*西工大*期末
下载次数
168次
下载金币
5德优币(当前结余18德优币)
温馨提示
该试题下载至自主题库后,下载、备课永久免费!
试卷设置
试卷名称
省市校区
阶段科目
年份卷型
选择类型
已选考点
在线训练
视频讲解
温馨提示
视频讲解正在加载中、请等待!
温馨提示
对不起!这是别人共享的试题,需要下载到自主题库后,可将该试题添加到白板
视频解析购买
支付方式
德优币数
本次消耗0德优币
温馨提示

客服电话:400-816-0029,服务邮箱:610066832@qq.com

视频资源

试题找茬
纠错类型
纠错描述
温馨提示
共享试题、试卷经平台审核通过后方可展示,并永久享用用户下载分红权!