首页 | 客服 | 上传赚现
AI助手
德优题库AI助手

AI助手

搜题▪组卷

(1)

服务热线

400-816-0029

    自建题库,共享分红

德优题库QQ交流群

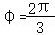
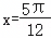
230542. (2025•西工大附中•十二模) 如图,将绘有函数fx)=MsinM>0,0<φ<π)部分图象的纸片沿x轴折成直二面角,夹角为,此时AB之间的距离为.则φ=(  )
A.     
B.      
C.    
D.
共享时间:2025-07-25 难度:5
[考点]
由y=Asin(ωx+φ)的部分图象确定其解析式,
[答案]
C
[解析]
解:过AB分别作x轴的垂线,垂足分别为CD,过AD分别作y轴、x轴的垂线相交于点E

连接ABBE,则
由余弦定理得
由上可知,x轴垂直于BDDE
BDDEDBDDE⊂平面BDE
所以x轴垂直于平面BDE
AEx轴,
所以AE⊥平面BDE
因为BE⊂平面BDE
所以AEBE
因为fx)的周期
所以AECD=3,
由勾股定理得3M2+9=15,解得
由图知,fx)的图象过点,且在递减区间内,
所以,即
因为0<φ<π,点在递减区间内,
所以
故选:C
[点评]
本题考查了"",属于"压轴题",熟悉题型是解题的关键。
转载声明:
本题解析属于发布者收集录入,如涉及版权请向平台申诉! !版权申诉
237880. (2017•西安中学•高一下期中) 已知如图是函数y=2sin(ωx+φ)(|φ|<)的图象上的一段,则(  )

A..ω=,φ=            

C.ω=,φ=﹣                                       

B.ω=2,φ=               

D.ω=2,φ=﹣

共享时间:2017-05-24 难度:5 相似度:2
237877. (2017•西安中学•高一下期中) 为了得到函数x∈R的图象,只需把函数y=2sinxx∈R的图象上所有的点(  )

A..向左平移个单位长度,再把所得各点的横坐标缩短到原来的纵坐标不变) 

B..向右平移个单位长度,再把所得各点的横坐标缩短到原来的(纵坐标不变) 

C..向左平移个单位长度,再把所得各点的横坐标伸长到原来的3倍(纵坐标不变) 

D..向右平移个单位长度,再把所得各点的横坐标伸长到原来的3倍(纵坐标不变)

共享时间:2017-05-24 难度:5 相似度:2
237520. (2020•西安中学•高一下期中) 已知函数的图象yAsin(ωx+φ)(A>0,ω>0,|φ|≤π)如图所示,则(  )

A.ω=2,φ=π                

C.

B.             

D.

共享时间:2020-05-13 难度:5 相似度:2
237200. (2021•师大附中•高一下期中) 若函数,(ω>0,|φ|<π)是奇函数,且其图象相邻两条对称轴之间的距离为2,则f(1)+f(2)+f(3)+…+f(2021)=(  )
A.      
B..0        
C..2021    
D.
共享时间:2021-05-17 难度:5 相似度:2
237151. (2021•高新一中•高二上期中) 已知函数fx)=sin(2ωx)(ω>0)的最小正周期为π,则函数fx)的图象的一条对称轴方程是(  )
A.x  
B.x     
C.x   
D.x
共享时间:2021-11-19 难度:5 相似度:2
236921. (2016•长安区一中•高二下期末) 如图是函数yAsin(ωx+φ)(x∈R,A>0,ω>0,0<φ<)在区间上的图象,为了得到这个函数的图象,只需将y=sinxx∈R)的图象上的所有的点(  )

A.向左平移个长度单位,再把所得各点的横坐标变为原来的,纵坐标不变 

B.向左平移个长度单位,再把所得各点的横坐标变为原来的2倍,纵坐标不变   

C.向左平移个长度单位,再把所得各点的横坐标变为原来的,纵坐标不变 

D..向左平移个长度单位,再把所得各点的横坐标变为原来的2倍,纵坐标不变

共享时间:2016-07-22 难度:5 相似度:2
236898. (2016•长安区一中•高一下期末) 函数fx)=Asin(ωx+φ)+bA>0,ω>0,|φ|<)的一部分图象如图所示,则(  )

A.fx)=3sin(2x)+1     

C.fx)=2sin(3x+)+2                                     

B.fx)=2sin(3x)+2     

D.fx)=2sin(2x+)+2

共享时间:2016-07-14 难度:5 相似度:2
236316. (2017•长安区一中•高一上期末) 函数fx)=Asin(ωx+φ)+bA>0,ω>0,|φ|<)的一部分图象如图所示,则(  )

A.fx)=3sin(2x)+1     

C.fx)=2sin(3x+)+2                                     

B.fx)=2sin(3x)+2   

D.fx)=2sin(2x+)+2

共享时间:2017-02-16 难度:5 相似度:2
235881. (2020•高新一中•高一上期末) 函数fx)=2sin(ωx+φ)(ω>0,﹣<φ<)的部分图象如图所示,则ω,φ的值分别是(  )
A.2,﹣
B.2,﹣      
C..4,﹣
D..4,﹣
共享时间:2020-02-01 难度:5 相似度:2
233266. (2023•西工大附中•高一下二月) 函数fx)=Asin(ωx+φ)(A>0,ω>0,|φ|<)的部分图象如图所示,则fx)的解析式是(  )

A.         

C.                                       

B.          

D.

共享时间:2023-06-23 难度:5 相似度:2
232299. (2023•铁一中学•高三上一月) 已知函数fx)的部分图象如图所示,则fx)的解析式可能为(  )

A.cos(4cosx)+cos(4sinx)  

B.  

C.

D.

共享时间:2023-10-13 难度:5 相似度:2
232278. (2023•铁一中学•高三上四月) 如图的曲线就像横放的葫芦的轴截面的边缘线,我们叫葫芦曲线(也像湖面上高低起伏的小岛在水中的倒影与自身形成的图形,也可以形象地称它为倒影曲线),它每过相同的间隔振幅就变化一次,且过点M),其对应的方程为|y|=(2﹣[)|sinωx|(x≥0,其中[x]为不超过x的最大整数,1<ω<3).若该葫芦曲线上一点N的横坐标为,则点N的纵坐标为(  )
A.        
B.     
C.   
D.
共享时间:2023-02-28 难度:5 相似度:2
232186. (2024•铁一中学•高一下一月) 如图,直线y=1与函数的图象的三个相邻的交点为ABC,且|AB|=π,|BC|=2π,则fx)=(  )

A.              

C.

B.         

D.

共享时间:2024-04-20 难度:5 相似度:2
231598. (2025•西工大附中•三模) 函数fx)=Asin(ωx+ϕ)+b的图象如图所示,则Sf(0)+f(1)+…+f(2014)等于(  )
A.0         
B.     
C.   
D.
共享时间:2015-04-07 难度:5 相似度:2
230692. (2022•长安区•二模) 已知函数,若函数fx)的一个零点为.其图像的一条对称轴为直线,则ω的最大值为(  )
A.2         
B.6         
C..10      
D..14
共享时间:2022-03-16 难度:5 相似度:2

dygzsxyn

2025-07-25

高中数学 | | 选择题

  • 下载量
  • 浏览量
  • 收益额
  • 0
  • 15
  • 0
相同试题
试题下载
试题内容
调用试题名称
共享人
唐老师
试题题型
解答题
试题难度
试题题源
2020*西工大*期末
下载次数
168次
下载金币
5德优币(当前结余18德优币)
温馨提示
该试题下载至自主题库后,下载、备课永久免费!
试卷设置
试卷名称
省市校区
阶段科目
年份卷型
选择类型
已选考点
在线训练
视频讲解
温馨提示
视频讲解正在加载中、请等待!
温馨提示
对不起!这是别人共享的试题,需要下载到自主题库后,可将该试题添加到白板
视频解析购买
支付方式
德优币数
本次消耗0德优币
温馨提示

客服电话:400-816-0029,服务邮箱:610066832@qq.com

视频资源

试题找茬
纠错类型
纠错描述
温馨提示
共享试题、试卷经平台审核通过后方可展示,并永久享用用户下载分红权!