首页 | 客服 | 上传赚现
AI助手
德优题库AI助手

AI助手

搜题▪组卷

(1)

服务热线

400-816-0029

    自建题库,共享分红

德优题库QQ交流群

230527. (2025•长安区•二模) 对于正整数n,φ(n)是小于或等于n的正整数中与n互质的数的数目(若两个正整数的最大公因数是1,则称这两个正整数互质).函数φ(n)以其首名研究者欧拉命名,称为欧拉函数,例如φ(10)=4,(10与1,3,7,9均互质)则(  )

A.φ(12)+φ(17)=20   

B.数列{φ(2n+1)}是单调递增数列  

C..若p为质数,则数列{φ(pn)}为等比数列 

D..数列的前5项和等于

共享时间:2025-03-26 难度:2
[考点]
数列的单调性,错位相减法,
[答案]
AC
[解析]
解:对于选项A:由题意可知,1,5,7,11均与12互质,则φ(12)=4,
1,2,3,4,5,…,13,14,15,16均与17互质,则以φ(17)=16,
故φ(12)+φ(17)=20,故A正确;
对于选项B:7与1,2,3,4,5,6互质,则φ(7)=6,
9与1,2,4,5,7,8互质,则φ(9)=6,可得φ(7)=φ(9),
可得数列{φ(2n+1)}不是单调递增数列,故B错误;
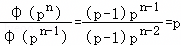
对于选项C:设p为质数,则小于等于pn的正整数中与pn互质的数为1,…,p﹣1,p+1,…,2p﹣1,2p+1,…,pn﹣1,
即每p个数当中就有一个与pn不互质,所以互质的数的数目为
故φ(pn)=(p﹣1)pn﹣1,所以为常数,
所以数列{φ(pn)}为等比数列,故C正确;
对于选项D:根据选项C可知,φ(3n)=2•3n﹣1,数列的前5项和为,故D错误.
故选:AC
[点评]
本题考查了"数列的单调性,错位相减法,",属于"必考题",熟悉题型是解题的关键。
转载声明:
本题解析属于发布者收集录入,如涉及版权请向平台申诉! !版权申诉

dygzsxyn

2025-03-26

高中数学 | | 多选题

  • 下载量
  • 浏览量
  • 收益额
  • 0
  • 3
  • 0
相同试题
试题下载
试题内容
调用试题名称
共享人
唐老师
试题题型
解答题
试题难度
试题题源
2020*西工大*期末
下载次数
168次
下载金币
5德优币(当前结余18德优币)
温馨提示
该试题下载至自主题库后,下载、备课永久免费!
试卷设置
试卷名称
省市校区
阶段科目
年份卷型
选择类型
已选考点
在线训练
视频讲解
温馨提示
视频讲解正在加载中、请等待!
温馨提示
对不起!这是别人共享的试题,需要下载到自主题库后,可将该试题添加到白板
视频解析购买
支付方式
德优币数
本次消耗0德优币
温馨提示

客服电话:400-816-0029,服务邮箱:610066832@qq.com

视频资源

试题找茬
纠错类型
纠错描述
温馨提示
共享试题、试卷经平台审核通过后方可展示,并永久享用用户下载分红权!