首页 | 客服 | 上传赚现
AI助手
德优题库AI助手

AI助手

搜题▪组卷

(1)

服务热线

400-816-0029

    自建题库,共享分红

德优题库QQ交流群

230472. (2025•西安中学•二模) 在棱长为2的正方体ABCDA1B1C1D1中,点E是棱CC1的中点,则点B1到平面BDE的距离是A到平面BDE的距离的    倍.
共享时间:2025-03-19 难度:1
[考点]
空间中点到平面的距离,
[答案]
2.
[解析]
解:如图,

以点D为坐标原点,DADCDD1所在直线分别为xyz轴建立空间直角坐标系,
D(0,0,0),A(2,0,0),B(2,2,0),E(0,2,1),B1(2,2,2),
设平面BDE的法向量为


x=﹣1,则y=1,z=﹣2,所以

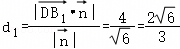
所以点B1到平面BDE的距离为
A到平面BDE的距离为
所以d1=2d2,故点B1到平面BDE的距离是A到平面BDE的距离的2倍.
故答案为:2.
[点评]
本题考查了"空间中点到平面的距离,",属于"常考题",熟悉题型是解题的关键。
转载声明:
本题解析属于发布者收集录入,如涉及版权请向平台申诉! !版权申诉
166425. (2024•西光中学•高二上一月) 在空间直角坐标系中,点M(0,0,1)为平面ABC外一点,其中A(1,0,0)、B(0,2,1),若平面ABC的一个法向量为(1,y0,﹣1),则点M到平面ABC的距离为          
共享时间:2024-10-12 难度:1 相似度:2

dygzsxyn

2025-03-19

高中数学 | | 填空题

  • 下载量
  • 浏览量
  • 收益额
  • 0
  • 3
  • 0
相同试题
试题下载
试题内容
调用试题名称
共享人
唐老师
试题题型
解答题
试题难度
试题题源
2020*西工大*期末
下载次数
168次
下载金币
5德优币(当前结余18德优币)
温馨提示
该试题下载至自主题库后,下载、备课永久免费!
试卷设置
试卷名称
省市校区
阶段科目
年份卷型
选择类型
已选考点
在线训练
视频讲解
温馨提示
视频讲解正在加载中、请等待!
温馨提示
对不起!这是别人共享的试题,需要下载到自主题库后,可将该试题添加到白板
视频解析购买
支付方式
德优币数
本次消耗0德优币
温馨提示

客服电话:400-816-0029,服务邮箱:610066832@qq.com

视频资源

试题找茬
纠错类型
纠错描述
温馨提示
共享试题、试卷经平台审核通过后方可展示,并永久享用用户下载分红权!