首页 | 客服 | 上传赚现
AI助手
德优题库AI助手

AI助手

搜题▪组卷

(1)

服务热线

400-816-0029

    自建题库,共享分红

德优题库QQ交流群

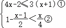
212153. (2025•滨河中学•五模) 求不等式组的正整数解之和.
共享时间:2025-05-14 难度:2
[考点]
解一元一次不等式组,一元一次不等式组的整数解,
[答案]
见试题解答内容
[解析]
解:
由①得:x≤5,
由②得:x>2,
∴不等式组的解集为2<x≤5,
∴不等式组的正整数解为3,4,5,
∴3+4+5=12.
[点评]
本题考查了"解一元一次不等式组,一元一次不等式组的整数解,",属于"必考题",熟悉题型是解题的关键。
转载声明:
本题解析属于发布者收集录入,如涉及版权请向平台申诉! !版权申诉
179129. (2025•师大附中•八下期中) 解不等式组:,并写出它所有的非负整数解.
共享时间:2025-05-21 难度:2 相似度:2
179925. (2024•铁一中学•八下期中) 解不等式组:,并求出所有整数解的和.
共享时间:2024-05-30 难度:2 相似度:2
23810. (2021•益新中学•五模) 解不等式组,并写出它的非负整数解.
共享时间:2021-06-18 难度:3 相似度:2
1084. (2020•陕西省•真题) 解不等式组:
共享时间:2020-07-30 难度:2 相似度:1.5
172508. (2024•师大附中•九上二月) 解不等式组:
共享时间:2024-12-22 难度:1 相似度:1.5
172785. (2024•曲江一中•九上一月) 解不等式组:
共享时间:2024-10-11 难度:1 相似度:1.5
173331. (2024•爱知中学•九上一月) 解不等式组:
共享时间:2024-10-12 难度:1 相似度:1.5
1135. (2020•陕西省•副题) 解不等式组:
共享时间:2020-07-31 难度:3 相似度:1.5
179546. (2024•爱知中学•九上期中) 解不等式组
共享时间:2024-11-29 难度:1 相似度:1.5
181024. (2024•西光中学•八下一月) 解下列一元一次不等式组
共享时间:2024-04-22 难度:1 相似度:1.5
27853. (2023•爱知中学•九上期末) 解不等式组:
 
共享时间:2024-01-30 难度:1 相似度:1.5
181149. (2023•爱知中学•月考) 解不等式组:
共享时间:2022-12-01 难度:1 相似度:1.5
181175. (2023•爱知中学•九上四月) 解不等式组:
共享时间:2023-01-10 难度:1 相似度:1.5
181366. (2024•经开一中•八下一月) 解不等式组:
(1)
(2)
共享时间:2024-04-18 难度:1 相似度:1.5
181534. (2023•曲江一中•九上一月) 解不等式组:
共享时间:2023-10-14 难度:1 相似度:1.5

bjy@dyw.com

2025-05-14

初中数学 | | 解答题

  • 下载量
  • 浏览量
  • 收益额
  • 0
  • 10
  • 0
相同试题
试题下载
试题内容
调用试题名称
共享人
唐老师
试题题型
解答题
试题难度
试题题源
2020*西工大*期末
下载次数
168次
下载金币
5德优币(当前结余18德优币)
温馨提示
该试题下载至自主题库后,下载、备课永久免费!
试卷设置
试卷名称
省市校区
阶段科目
年份卷型
选择类型
已选考点
在线训练
视频讲解
温馨提示
视频讲解正在加载中、请等待!
温馨提示
对不起!这是别人共享的试题,需要下载到自主题库后,可将该试题添加到白板
视频解析购买
支付方式
德优币数
本次消耗0德优币
温馨提示

客服电话:400-816-0029,服务邮箱:610066832@qq.com

视频资源

试题找茬
纠错类型
纠错描述
温馨提示
共享试题、试卷经平台审核通过后方可展示,并永久享用用户下载分红权!