首页 | 客服 | 上传赚现
AI助手
德优题库AI助手

AI助手

搜题▪组卷

(1)

服务热线

400-816-0029

    自建题库,共享分红

德优题库QQ交流群

198280. (2023•高新一中•八上期中) 《九章算术》中记载了一个问题,“今有共买物,人出八,盈三;人出七,不足四.问人数、物价各几何?”大意是:有几个人一起去买一件物品,每人出8元,多3元;每人出7元,少4元,问有        人,该物品价值        元.
共享时间:2023-11-16 难度:1
[考点]
二元一次方程组的应用,
[答案]
7;53.
[解析]
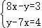
解:设有x人,该物品价值y元,
依题意得:
解得:
∴有7人,该物品价值53元.
故答案为:7;53.
[点评]
本题考查了"二元一次方程组的应用,",属于"基础题",熟悉题型是解题的关键。
转载声明:
本题解析属于发布者收集录入,如涉及版权请向平台申诉! !版权申诉
172555. (2024•师大附中•八上二月) 德优题库幻方,最早源于我国,古人称之为纵横图.如图所示的幻方中,各行、各列及各条对角线上的三个数字之和均相等,则图中x+y的值为        
共享时间:2024-12-11 难度:1 相似度:2
181220. (2023•爱知中学•八上二月) 某车间每天能生产甲种零件120个或乙种零件100个,甲乙两种零件分别取2个和1个才能配套,要在80天生产最多的成套产品,问甲种零件应该生产      天.
共享时间:2023-12-18 难度:1 相似度:2
181269. (2023•西航一中•七上二月) 根据图中给出的信息,求出当水位上升到50cm,应放入        个大球.德优题库
共享时间:2023-12-10 难度:1 相似度:2
190078. (2025•西咸新区•八上期末) 对于任意实数a、b,定义关于“@”的一种运算:a@b=2a+b,例如3@4=2×3+4=10.若x@(-y)=3,(2y)@x=6,则x-y的值为        
共享时间:2025-02-08 难度:1 相似度:2
197690. (2024•高新一中•八上期中) 德优题库如图,在一个大长方形中放入六个形状、大小相同的小长方形,有关尺寸如图所示,则图中大长方形ABCD的面积是        cm2
共享时间:2024-11-12 难度:1 相似度:2
196226. (2024•师大附中•八上期末) 古典数学文献《增删算法统宗•六均输》中有这样一道题:甲、乙两人一同放牧,两人暗地里在数羊的数量.如果乙给甲9只羊,则甲的羊数量为乙的两倍;如果甲给乙9只羊,则两人的羊数量相同.则乙的羊数量为        只.
共享时间:2024-02-03 难度:2 相似度:1.5
197610. (2024•沣东中学•七上期中) 【阅读材料】“九宫图”源于我国古代夏禹时期的“洛书”(如图①),是世界上最早的矩阵,又称幻方,用今天的数学符号表示,洛书就是一个三阶幻方(如图②).观察图②根据你所观察的规律,则图③中|a|+|b|=       
德优题库
共享时间:2024-11-19 难度:2 相似度:1.5

lrn@dyw.com

2023-11-16

初中数学 | 八年级上 | 填空题

  • 下载量
  • 浏览量
  • 收益额
  • 0
  • 11
  • 0
相同试题
试题下载
试题内容
调用试题名称
共享人
唐老师
试题题型
解答题
试题难度
试题题源
2020*西工大*期末
下载次数
168次
下载金币
5德优币(当前结余18德优币)
温馨提示
该试题下载至自主题库后,下载、备课永久免费!
试卷设置
试卷名称
省市校区
阶段科目
年份卷型
选择类型
已选考点
在线训练
视频讲解
温馨提示
视频讲解正在加载中、请等待!
温馨提示
对不起!这是别人共享的试题,需要下载到自主题库后,可将该试题添加到白板
视频解析购买
支付方式
德优币数
本次消耗0德优币
温馨提示

客服电话:400-816-0029,服务邮箱:610066832@qq.com

视频资源

试题找茬
纠错类型
纠错描述
温馨提示
共享试题、试卷经平台审核通过后方可展示,并永久享用用户下载分红权!