首页 | 客服 | 上传赚现
AI助手
德优题库AI助手

AI助手

搜题▪组卷

(1)

服务热线

400-816-0029

    自建题库,共享分红

德优题库QQ交流群

179267. (2025•高新一中•七下期中) 新定义:为二阶行列式,它的运算规则是,例如:
(1)计算的值;
(2)若,求n的值.
共享时间:2025-05-23 难度:2
[考点]
有理数的混合运算,解一元一次方程,
[答案]
(1)1;
(2)n=2.
[解析]
解:(1)原式=1002﹣101×99
=1002﹣(100+1)×(100﹣1)
=1002﹣1002+1
=1;
(2)由题意得(n+3)2﹣(n﹣3)2=24,
n2+6n+9﹣n2+6n﹣9=24,
整理得:12n=24,
解得:n=2.
[点评]
本题考查了"有理数的混合运算,解一元一次方程,",属于"易错题",熟悉题型是解题的关键。
转载声明:
本题解析属于发布者收集录入,如涉及版权请向平台申诉! !版权申诉
23611. (2020•交大附中•七上期末) 1)计算:﹣22×3|3+1|+
2)解方程:=﹣1
共享时间:2021-05-13 难度:4 相似度:2
172635. (2024•长安区•月考) 规定这样一种新运算法则:a*b=a2-2ab.如:3*(-2)=32-2×3×(-2)=21.若(-4)*x=-2+5x,求x的值.
共享时间:2023-12-01 难度:2 相似度:2
173619. (2024•铁一中学•七上二月) 解方程:
(1)2(x﹣1)=﹣3x+8;
(2)x+
共享时间:2024-12-20 难度:1 相似度:1.5
82685. (2024•铁一中学•七上期末) 计算与化简求值:
1
2
3)先化简再求值:,其中x=﹣4y3
共享时间:2024-02-13 难度:2 相似度:1.5
82686. (2024•铁一中学•七上期末) 解方程:
1
2
 
共享时间:2024-02-13 难度:1 相似度:1.5
172461. (2024•师大附中•七上一月) 计算.
(1)8+(﹣10)+(﹣2)﹣(﹣5);
(2)
(3)
(4)22×(﹣1)2×(﹣3)3
共享时间:2024-10-22 难度:1 相似度:1.5
172609. (2024•西安一中•七上一月) 计算:
(1)24﹣(﹣16)+(﹣25);
(2)
(3)(﹣3)×2×(﹣5);
(4)
共享时间:2024-10-16 难度:1 相似度:1.5
173103. (2024•高新三中•七上一月) 规定一种新运算“※”,两数a,b通过“※”运算得(a+2)×2-b,即a※b=(a+2)×2-b,例如:3※5=(3+2)×2-5=10-5=5,根据上面规定解答下题:
(1)求7※(-3)的值;
(2)“※”运算满足交换律吗?请说明理由.
共享时间:2024-10-22 难度:1 相似度:1.5
172633. (2024•长安区•月考) 解方程:
共享时间:2023-12-01 难度:1 相似度:1.5
172629. (2024•长安区•月考) 计算:
共享时间:2023-12-01 难度:1 相似度:1.5
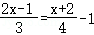
27690. (2024•高新一中•七上一月) 解下列方程:
(1)16x-40=9x+16;
(2) -  =1.
共享时间:2023-12-16 难度:1 相似度:1.5
173102. (2024•高新三中•七上一月) 已知ab互为相反数,cd互为倒数,m是绝对值等于1的数,求:的值.
共享时间:2024-10-22 难度:1 相似度:1.5
172835. (2024•逸翠园中学•七上一月) 计算:
(1)27﹣18+(﹣7)﹣32;
(2)
(3)
(4)
共享时间:2024-10-10 难度:1 相似度:1.5
172839. (2024•逸翠园中学•七上一月) 已知ab互为相反数,且a≠0,cd互为倒数,x的绝对值为1,求的值.
共享时间:2024-10-10 难度:1 相似度:1.5
172842. (2024•逸翠园中学•七上一月) 用符号M表示一种运算,它对整数和分数的运算结果分别如下:M(﹣1)=﹣3,M(0)=﹣2,M(1)=﹣1,M(2)=0,M(3)=1,…,利用以上规律计算:
(1)
(2)
共享时间:2024-10-10 难度:1 相似度:1.5

hb@dyw.com

2025-05-23

初中数学 | 七年级下 | 解答题

  • 下载量
  • 浏览量
  • 收益额
  • 0
  • 22
  • 0
相同试题
试题下载
试题内容
调用试题名称
共享人
唐老师
试题题型
解答题
试题难度
试题题源
2020*西工大*期末
下载次数
168次
下载金币
5德优币(当前结余18德优币)
温馨提示
该试题下载至自主题库后,下载、备课永久免费!
试卷设置
试卷名称
省市校区
阶段科目
年份卷型
选择类型
已选考点
在线训练
视频讲解
温馨提示
视频讲解正在加载中、请等待!
温馨提示
对不起!这是别人共享的试题,需要下载到自主题库后,可将该试题添加到白板
视频解析购买
支付方式
德优币数
本次消耗0德优币
温馨提示

客服电话:400-816-0029,服务邮箱:610066832@qq.com

视频资源

试题找茬
纠错类型
纠错描述
温馨提示
共享试题、试卷经平台审核通过后方可展示,并永久享用用户下载分红权!