首页 | 客服 | 上传赚现
AI助手
德优题库AI助手

AI助手

搜题▪组卷

(1)

服务热线

400-816-0029

    自建题库,共享分红

德优题库QQ交流群

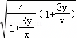
172166. (2022•西安三中•高二上期中) 已知xy为正实数,则的最小值为(  )
A.      
B.
C.                
D..3
共享时间:2022-11-22 难度:1
[考点]
基本不等式及其应用,
[答案]
D
[解析]
解:∵xy为正实数,

+(1+)﹣1
≥2﹣1=4﹣1=3,
当且仅当x=3y时“=”成立,
故选:D
[点评]
本题考查了"基本不等式及其应用,",属于"常考题",熟悉题型是解题的关键。
转载声明:
本题解析属于发布者收集录入,如涉及版权请向平台申诉! !版权申诉
169447. (2024•长安区一中•高一上期末) 已知a>0,b>0,且2a+bab﹣1,则a+2b的最小值为(  )
A.
B.        
C.5         
D.9
共享时间:2024-02-14 难度:1 相似度:2
169778. (2023•师大附中•高二上期末) a>0,b>0且lna+b)=0,则的最小值是(  )
A.      
B..1        
C..4       
D..8
共享时间:2023-02-13 难度:1 相似度:2
171486. (2023•铁一中学•高二上期中) 已知a>0,b>0且2aba+2b,则a+8b的最小值为(  )
A.     
B.10        
C.9         
D.
共享时间:2023-11-20 难度:1 相似度:2
169045. (2020•西工大附中•一模) 《几何原本》卷2的几何代数法(以几何方法研究代数问题)成了后世西方数学家处理问题的重要依据,通过这一原理,很多的代数的公理或定理都能够通过图形实现证明,也称之为无字证明、现有如图所示图形,点F在半圆O上,点C在直径AB上,且OFAB,设ACaBCb,则该图形可以完成的无字证明为(  )

A.  

C.a2+b2≥2aba>0,b>0)   

B.

D.a>0,b>0)

共享时间:2020-03-01 难度:1 相似度:2
169177. (2020•交大附中•三模) 已知点A(1,﹣1)在直线mxny﹣1=0上,其中m>0,n>0,则+的最小值为(  )
A.3         
B..4        
C.3
D.8
共享时间:2020-04-15 难度:1 相似度:2
166221. (2024•师大附中•高一上二月) 已知x>0,则的最大值是(  )
A. 
B.    
C.   
D.
共享时间:2024-12-16 难度:1 相似度:2
169489. (2024•铁一中学•高一上期末) 若正实数ab满足2a+b=6,则的最小值为(  )
A.        
B.       
C.2         
D..4
共享时间:2024-02-13 难度:1 相似度:2
169576. (2024•高新一中•高一上期末) 已知x>0,y>0,且2x+yxy,则x+2y的最小值为(  )
A..8       
B.    
C.9         
D.
共享时间:2024-02-29 难度:1 相似度:2
169884. (2023•长安区一中•高一上期末) 已知正实数xy满足xyx2+y2﹣12,则x+y的最大值是(  )
A..24      
B..12       
C.     
D.
共享时间:2023-02-03 难度:1 相似度:2
171193. (2024•西安八十九中•高一上期中) a>0,b>0,a+b=1,则(  )

A.a2+b2的最小值为

B.的范围为[9,+∞)

C.的是小值为

D.c>1,则的最小值为8

共享时间:2024-11-19 难度:1 相似度:2
170198. (2023•高新一中•高一上期末) a>﹣3,则的最小值为(  )
A.2         
B..4        
C..5       
D..6
共享时间:2023-02-12 难度:1 相似度:2
170269. (2023•西工大附中•高一上期末) 下列命题中正确的是(  )

A.x>1时,x+≥2            

C..当x<0时,x+≤﹣2                                       

B.当0<x<1时,≥2     

D.x≥2时,

共享时间:2023-02-07 难度:1 相似度:2
170516. (2022•高新三中•高一下期中) 下列各函数中,最小值为2的是(  )

A.yx+ 

B.y=sinx+x∈(0,

C.y

D.y=2x+

共享时间:2022-05-23 难度:1 相似度:2
170762. (2020•西安中学•高二下期末) 已知x>0,y>0,且,则x+y的最小值为(  )
A..3       
B.5         
C.7         
D..9
共享时间:2020-07-05 难度:1 相似度:2
170903. (2024•滨河中学•高二上期中) ab>0,ab+2a+b=4,则a+b的最小值为(  )
A..2       
B.﹣1     
C..2﹣2 
D..2﹣3
共享时间:2024-11-30 难度:1 相似度:2

mra@dyw.com

2022-11-22

高中数学 | 高二上 | 选择题

  • 下载量
  • 浏览量
  • 收益额
  • 0
  • 10
  • 0
相同试题
试题下载
试题内容
调用试题名称
共享人
唐老师
试题题型
解答题
试题难度
试题题源
2020*西工大*期末
下载次数
168次
下载金币
5德优币(当前结余18德优币)
温馨提示
该试题下载至自主题库后,下载、备课永久免费!
试卷设置
试卷名称
省市校区
阶段科目
年份卷型
选择类型
已选考点
在线训练
视频讲解
温馨提示
视频讲解正在加载中、请等待!
温馨提示
对不起!这是别人共享的试题,需要下载到自主题库后,可将该试题添加到白板
视频解析购买
支付方式
德优币数
本次消耗0德优币
温馨提示

客服电话:400-816-0029,服务邮箱:610066832@qq.com

视频资源

试题找茬
纠错类型
纠错描述
温馨提示
共享试题、试卷经平台审核通过后方可展示,并永久享用用户下载分红权!