首页 | 客服 | 上传赚现
AI助手
德优题库AI助手

AI助手

搜题▪组卷

(1)

服务热线

400-816-0029

    自建题库,共享分红

德优题库QQ交流群

171478. (2023•西工大附中•高二上期中) 如图所示,曲线上的点Pii=1,2,…,n,…)与x轴正半轴上的点Qii=1,2,…,n,…)及原点O构成一系列正三角形PiQi﹣1Qi(设Q0O),记an=|QnQn﹣1|,则数列{an}的通项公式an               .

共享时间:2023-11-17 难度:1
[考点]
由实际问题归纳出数列的通项,
[答案]

[解析]
解:由条件可得△P1OQ1为正三角形,且边长为a1
P1),P1在曲线上,代入中,得
a1>0,∴,根据题意得点Pn+1),
代入曲线y并整理,得
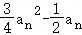
n≥2,n∈N*时,anSnSn﹣1=()﹣(),
an+1+an)=an+1+an)•(an+1an),
an+1an>0,∴
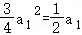
n=1时,,解得(负值舍去),
满足
∴数列{an}是首项为,公差为的等差数列,

故答案为:
[点评]
本题考查了"由实际问题归纳出数列的通项,",属于"基础题",熟悉题型是解题的关键。
转载声明:
本题解析属于发布者收集录入,如涉及版权请向平台申诉! !版权申诉
231046. (2016•师大附中•十模) 已知程序框图如图所示,其功能是求一个数列{an}的前10项和,则数列{an}的一个通项公式an  ,数列{anan+1}的前2016项和为              

共享时间:2016-06-26 难度:1 相似度:2

db@dyw.com

2023-11-17

高中数学 | 高二上 | 填空题

  • 下载量
  • 浏览量
  • 收益额
  • 0
  • 6
  • 0
相同试题
试题下载
试题内容
调用试题名称
共享人
唐老师
试题题型
解答题
试题难度
试题题源
2020*西工大*期末
下载次数
168次
下载金币
5德优币(当前结余18德优币)
温馨提示
该试题下载至自主题库后,下载、备课永久免费!
试卷设置
试卷名称
省市校区
阶段科目
年份卷型
选择类型
已选考点
在线训练
视频讲解
温馨提示
视频讲解正在加载中、请等待!
温馨提示
对不起!这是别人共享的试题,需要下载到自主题库后,可将该试题添加到白板
视频解析购买
支付方式
德优币数
本次消耗0德优币
温馨提示

客服电话:400-816-0029,服务邮箱:610066832@qq.com

视频资源

试题找茬
纠错类型
纠错描述
温馨提示
共享试题、试卷经平台审核通过后方可展示,并永久享用用户下载分红权!