首页 | 客服 | 上传赚现
AI助手
德优题库AI助手

AI助手

搜题▪组卷

(1)

服务热线

400-816-0029

    自建题库,共享分红

德优题库QQ交流群

167433. (2023•雁塔二中•高二上一月) 已知M为圆Cx2+y2﹣4x﹣14y+45=0上任意一点,且Q(﹣2,3).
(1)求|MQ|的最大值和最小值;
(2)若Mmn),求2m+3n+1的最大值和最小值;
(3)若Mmn),求m2+n2+4m﹣6n的最大值和最小值.
共享时间:2023-10-26 难度:2
[考点]
两点间的距离公式,点与圆的位置关系,
[答案]
(1)最大值为,最小值为
(2)最大值为,最小值为
(3)最大值为59,最小值为﹣5.
[解析]
解:(1)因为4+9﹣4×(﹣2)﹣14×3+45=24>0,即Q在圆C外,
C:(x﹣2)2+(y﹣7)2=8的圆心C(2,7),半径
因为|QC|﹣R≤|MQ|≤|QC|+R,即
所以|MQ|的最大值为,最小值为
(2)圆C:(x﹣2)2+(y﹣7)2=8的圆心C(2,7),半径
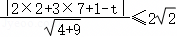
t=2m+3n+1可得2m+3n+1﹣t=0,即圆和直线2m+3n+1﹣t=0总有公共点求t的最大值和最小值,
,解得
所以2m+3n+1的最大值为,最小值为
(3)m2+n2+4m﹣6n=(m+2)2+(n﹣3)2﹣13,
t2=(m+2)2+(n﹣3)2
m+2=0,n﹣3=0即m=﹣2,n=3时(﹣2﹣2)2+(3﹣7)2=32>0,
此时点(﹣2,3)在圆外,所以t>0,求m2+n2+4m﹣6n的最大值和最小值转化为:
求圆(m+2)2+(n﹣3)2t2与圆C:(m﹣2)2+(m﹣7)2=8总有公共点求t2﹣13的最大值和最小值,
而两圆心的距离为
当两圆外切时,解得,此时t2﹣13=8﹣13=﹣5,
当两圆内切时,两圆心的距离,所以只能圆C在圆(m+2)2+(n﹣3)2t2的内部,
所以,解得,此时t2﹣13=72﹣13=59,
所以m2+n2+4m﹣6n的最大值为59,最小值为﹣5.
[点评]
本题考查了"两点间的距离公式,点与圆的位置关系,",属于"易错题",熟悉题型是解题的关键。
转载声明:
本题解析属于发布者收集录入,如涉及版权请向平台申诉! !版权申诉
231075. (2016•西安一中•一模) 已知椭圆Cx2+2y2=4.
(Ⅰ)求椭圆C的离心率;
(Ⅱ)设O为原点,若点A在直线y=2上,点B在椭圆C上,且OAOB,求线段AB长度的最小值.
共享时间:2016-03-14 难度:2 相似度:1

bl@dyw.com

2023-10-26

高中数学 | 高二上 | 解答题

  • 下载量
  • 浏览量
  • 收益额
  • 0
  • 11
  • 0
相同试题
试题下载
试题内容
调用试题名称
共享人
唐老师
试题题型
解答题
试题难度
试题题源
2020*西工大*期末
下载次数
168次
下载金币
5德优币(当前结余18德优币)
温馨提示
该试题下载至自主题库后,下载、备课永久免费!
试卷设置
试卷名称
省市校区
阶段科目
年份卷型
选择类型
已选考点
在线训练
视频讲解
温馨提示
视频讲解正在加载中、请等待!
温馨提示
对不起!这是别人共享的试题,需要下载到自主题库后,可将该试题添加到白板
视频解析购买
支付方式
德优币数
本次消耗0德优币
温馨提示

客服电话:400-816-0029,服务邮箱:610066832@qq.com

视频资源

试题找茬
纠错类型
纠错描述
温馨提示
共享试题、试卷经平台审核通过后方可展示,并永久享用用户下载分红权!