首页 | 客服 | 上传赚现
AI助手
德优题库AI助手

AI助手

搜题▪组卷

(1)

服务热线

400-816-0029

    自建题库,共享分红

德优题库QQ交流群

103105. (2023•阎良区•九上期末) “人民起义为查士丁尼敲响警钟。他不得不实行一些改革以缓和尖锐的阶级矛盾……为总结古罗马的统治经验,特成立罗马法编纂委员会。”材料说明查士丁尼编是法典的目的是(  )
A.实行民主政治需要
B.为欧洲民法奠定基础
C.推行封君封臣制度
D.稳定帝国的社会秩序
共享时间:2023-03-02 难度:1
[考点]
查士丁尼及《查士丁尼法典》,
[答案]
D
[解析]
根据题干材料“人民起义为查士丁尼敲响警钟。他不得不实行一些改革以缓和尖锐的阶级矛盾……为总结古罗马的统治经验,查士丁尼编纂法典的目的为了稳固帝国的社会秩序,故D符合题意,与查士丁尼不符;《罗马民法大全》奠定了欧洲民法基础,排除B,推行封君封臣制度,与查士丁尼编是法典的目的不符。
故选:D
[点评]
本题考查了"查士丁尼及《查士丁尼法典》   ",属于"常考题",熟悉题型是解题的关键。
转载声明:
本题解析属于发布者收集录入,如涉及版权请向平台申诉! !版权申诉
27866. (2023•滨河中学•九上一月) 如下表选项中,史实与结论之间的逻辑正确的是(  )
选项 史实 结论
A 种姓制度 古巴比伦王国逐渐建立起严格的社会等级制度
B 查士丁尼法典 不是查士丁尼执政时期的法令汇编
C 阿拉伯文化 为后来西欧的文艺复兴提供了丰富的精神营养
D 大化改新 日本限制了天皇权力

A.A

B.B

C.C

D.D

共享时间:2023-10-19 难度:1 相似度:2
29006. (2024•爱知中学•九上一月) 如表是某同学做的学习笔记。可推知他正在学习(  )
时间:公元6世纪
内容:《查士丁尼法典》《法学汇纂》《法理概要》《新法典》
目的:稳定帝国的社会秩序,保证皇帝的专制权力
影响:奠定了欧洲民法的基础
A.《汉谟拉比法典》
B.《十二铜表法》
C.《罗马民法大全》
D.《拿破仑法典》
共享时间:2024-10-24 难度:2 相似度:1.5
29279. (2022•曲江一中•九上二月) 下列历史文献中,内容包括了《查士丁尼法典》、历代罗马法学家有关法律问题的论文和著作等法律文献,为欧洲民法奠定了基础的是(  )

A.《荷马史诗》

C.《汉谟拉比法典》

B.《权利法案》

D.《罗马民法大全》

共享时间:2022-11-06 难度:2 相似度:1.5
31689. (2018•西安音乐学院附中•九上期中) 《罗马民法大全》是四部法典的统称,其中有可能经过拜占庭皇帝查士丁尼一世亲自审订的是(  )
①《查士丁尼法典》
②《十二铜表法》
③《法理概要》
④《法学汇纂》
A.①③④
B.①②③
C.②③④
D.①②④
共享时间:2018-11-20 难度:2 相似度:1.5
102191. (2022•周至县•一模) 《查士丁尼法典》序言中说:“皇帝的威严光荣不但依靠武器,而且需用法律来巩固。”这说明查士丁尼制定法典的目的在于(  )

A.保证皇帝的专制权力

C.消除战争的社会隐患

B.维护人民的基本权益

D.协调统治的内部矛盾

共享时间:2022-03-08 难度:2 相似度:1.5
103534. (2024•爱知中学•九上一月) 如表是某同学做的学习笔记。可推知他正在学习(  )
时间:公元6世纪
内容:《查士丁尼法典》《法学汇纂》《法理概要》《新法典》
目的:稳定帝国的社会秩序,保证皇帝的专制权力
影响:奠定了欧洲民法的基础
A.《汉谟拉比法典》
B.《十二铜表法》
C.《罗马民法大全》
D.《拿破仑法典》
共享时间:2024-10-29 难度:2 相似度:1.5
28447. (2021•高新九中•九上一月) 古代罗马法律制度比较完备,《十二铜表法》与《查士丁尼法典》分别属于哪一时期的成就?(  )
德优题库
A.①③
B.②③
C.②⑤
D.④⑤
共享时间:2021-10-23 难度:3 相似度:1.33
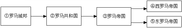
29160. (2023•西安工业大学附中•九上一月) 古代罗马法律制度比较完备,《十二铜表法》与《查士丁尼法典》分别属于哪一时期的成就(  )
①罗马城邦
②罗马共和国
③罗马帝国
④西罗马帝国
⑤东罗马帝国
A.①③
B.②③
C.②⑤
D.④⑤
共享时间:2023-11-06 难度:3 相似度:1.33
102356. (2021•长安区•二模) 阅读历史书籍需要关注目录检索,通过检索目录,可以明确历史阶段特征。读图,你认为第三单元的题目应该是(  )
第三单元_____
第7课基督教兴起和法兰克王国
第8课西欧庄园
第9课中世纪城市和大学的兴起
第10课拜占庭帝国和《查士丁尼法典》
A.封建时代的欧洲
B.走向近代
C.资本主义制度初步建立
D.海洋文明的兴起
共享时间:2021-03-28 难度:5 相似度:1.2

hux@dyw.com

2023-03-02

初中历史 | 九年级上 | 选择题

  • 下载量
  • 浏览量
  • 收益额
  • 0
  • 13
  • 0
相同试题
试题下载
试题内容
调用试题名称
共享人
唐老师
试题题型
解答题
试题难度
试题题源
2020*西工大*期末
下载次数
168次
下载金币
5德优币(当前结余18德优币)
温馨提示
该试题下载至自主题库后,下载、备课永久免费!
试卷设置
试卷名称
省市校区
阶段科目
年份卷型
选择类型
已选考点
在线训练
视频讲解
温馨提示
视频讲解正在加载中、请等待!
温馨提示
对不起!这是别人共享的试题,需要下载到自主题库后,可将该试题添加到白板
视频解析购买
支付方式
德优币数
本次消耗0德优币
温馨提示

客服电话:400-816-0029,服务邮箱:610066832@qq.com

视频资源

试题找茬
纠错类型
纠错描述
温馨提示
共享试题、试卷经平台审核通过后方可展示,并永久享用用户下载分红权!