首页 | 客服 | 上传赚现
AI助手
德优题库AI助手

AI助手

搜题▪组卷

(1)

服务热线

400-816-0029

    自建题库,必找德优

德优题库QQ交流群

首页 > 试卷详情
德优网2025陕西省西安市未央区小学数学考试期末五年级下

2024-2025学年陕西省西安市未央区五年级(下)期末数学试卷

试卷总分:100分    命题人:dyxxsxxb    考试时长:120分钟

一、填空题(12小题共22分)
1. (本题3分)                    +2.5×         2×                    1
2. (本题2分) mn互为倒数,则÷        ×                   
3. (本题1分) 一根木棒截下正好是 2 ,再减去米,还剩                    米.
4. (本题3分) 1.08m3=        m3       dm3
2.4时=        
5. (本题4分) 在横线内填上合适的单位。
(1)香皂盒的体积约是180        
(2)一架直升机油箱容积约是570        
(3)一个饼干盒的表面积约是230        
(4)西安城墙的长度约是13.74        
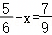
6. (本题1分) 德优题库把3个棱长为3分米的正方体木箱放在墙角处(如图),露在外面的面积是        平方分米。
7. (本题2分) 某校体育馆的游泳池长°50米,宽20米,深2米。在游泳池的四周和底面贴瓷砖,贴瓷砖的面积是        平方米;若在游泳池中放水到离池口0.4米处(不计瓷砖厚度),则需要        升的水。
8. (本题2分) 德优题库将若干个小正方体按如图方式摆放在桌面上,按照这样的摆法继续摆,如果摆6个则一共有        个面露在外面;如果摆n个,则一共有        个面露在外面。
9. (本题1分) 六年级同学进行毕业体检,小明、小强、小方、小力和小军的体重情况记录如下。如果我们把他们五人的平均体重记作0kg,超过平均体重的部分记为正,那么小方的体重应记作        kg。
小明 小强 小方 小力 小军
43kg 42kg 39kg 41kg 45kg
10. (本题1分) 西安钟楼高 36 ,大雁塔比钟楼高,大雁塔比钟楼高         米。
11. (本题1分) 德优题库一根绳子长10米,现要捆扎一种礼盒(如图)。如果结头处要用掉绳子25厘米,这根绳子最多可以捆扎        个这样的礼盒。
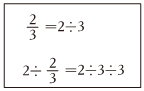
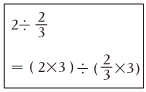
12. (本题1分) 小林在探索“分数乘分数”的计算方法时,将下面的正方形看作整体“1”,进行了如图四步操作,如果将这四步操作的意思用分数乘法算式表示为        
德优题库
二、判断题(5小题共5分)
13. (本题1分) 一个数(0除外)除以一个假分数,商一定大于被除数.         (判断对错)
14. (本题1分)       (判断对错)
15. (本题1分) 把一块布的平均分成3份,每一份是这块布的       (判断对错)
16. (本题1分) 一个长方体和一个正方体的底面周长和高都相等,那么它们的体积也一定相等.        .(判断对错)
17. (本题1分) 异分母分数不能直接相加减,是因为它们的分数单位不同。        (判断对错)
三、选择题(5小题共10分)
18. (本题2分) 德优题库如图,淘气用图中两种长方形纸板和第三种长方形纸板拼长方体,第三种长方形纸板可能是(  )
A.长3cm宽2cm的长方形 B.长6cm宽3cm的长方形
C.长3cm宽1cm的长方形 D.长5cm宽3cm的长方形
19. (本题2分) 要对比两款饮品2024年上半年每个月销量增减的情况,绘制(  )统计图比较合适。
A.条形
B.折线
C.复式条形
D.复式折线
20. (本题2分) 为了得到的结果,下面的四种方法中,你觉得不合理的是(  )
A.德优题库 B.德优题库
C.德优题库 D.德优题库
21. (本题2分) 下图中的哪些图形可以沿虚线折叠成长方体包装盒。(  )
德优题库
A.①②
B.①③
C.①②③
D.②③④
22. (本题2分) 笑笑在学习《体积》这一单元时联想到了长度和面积的测量,便和小组的同学讨论了起来。你认为在测量长度、面积和体积时,相同的是(  )
德优题库

A.都是用长×宽×高

B.都是用长+宽+高

C.都是用边长×边长

D.都是数出相应测量单位的个数

四、计算题(3小题共29分)
23. (本题8分) 直接写出得数。
24. (本题12分) 脱式计算,能简算的要简算。
0.175÷0.25×4


25. (本题9分) 解方程。

1.2x+0.60.66
五、操作题(2小题共10分)
26. (本题6分) 算一算,画一画。

                    +                                       
27. (本题4分) 根据下面的描述,在平面图上标出两名同学家的位置。
(1)笑笑家在广场南偏西60°方向1200米处。
(2)淘气家在广场东偏北45°方向800米处。
德优题库
六、应用题(4小题共24分)
28. (本题4分) 淘气、笑笑和奇思参加100m赛跑,淘气用了分,笑笑用了0.3分,奇思用了分,他们三人谁跑得最慢?
29. (本题5分) 德优题库如图是一个长方体容器,里面水深1dm,如果往里面放入一个体积为640cm3的珊瑚石,珊瑚石完全浸没水里,这个容器里的水会不会溢出来?请说明理由。
30. (本题8分) 2025年春节期间电影院新片上映。某天上午8:00~10:30某电影院共接待200人,其中观看《哪吒之魔童闹海》的人数占全部人数的,观看《唐探1900》的人数占全部人数的,剩余的都是观看《封神2》的。
(1)观看《封神2》的人数占全部人数的几分之几?
(2)观看《哪吒之魔童闹海》和《唐探1900》的分别有多少人?
(3)每张《封神2》的电影票是打八折出售,售价是40元,原价多少元?
31. (本题7分) 如表是甲、乙两家电商2019~2023年获得的利润情况统计。(单位:亿元)
年份 2019 2020 2021 2022 2023
电商甲的利润 160 180 200 210 215
电商乙的利润 145 180 163 160 156
(1)请根据上表中的数据,补充完整下面的折线统计图。
德优题库
(2)根据折线统计图填空。
①2019~2023年电商        获得的利润呈逐年上升趋势。
       年,两家电商获得的利润相同。
③从2020~2023年期间,电商乙的利润是怎样变化的?你打算向电商乙的经理提出什么建议?请写一写。
转载声明:
本题解析属于发布者收集录入,如涉及版权请向平台申诉! !版权申诉
温馨提示
对不起!这是别人共享的试卷,需要下载到自主题库后,可将该试卷添加到白板
试题下载
试题内容
调用试题名称
共享人
唐老师
试题题型
解答题
试题难度
试题题源
2020*西工大*期末
下载次数
168次
下载金币
5德优币(当前结余18德优币)
温馨提示
该试题下载至自主题库后,下载、备课永久免费!
相似题
试卷设置
试卷名称
省市校区
阶段科目
年份卷型
选择类型
已选考点
在线训练
可见权限
会员看题 会员看题和答案
试卷下载
试卷名称
调用试卷名称
共享人
唐老师
试卷卷型
1111
试卷难度
试卷来源
2020*西工大*期末
下载次数
168次
下载金币
5德优币(当前结余18德优币)
温馨提示
该试卷下载至自主题库后,下载、备课永久免费!
组卷付费
试卷名称
调用试卷名称
试卷来源
唐老师
试卷形式
全选 卷主 序号 卷型 难度 年份 省市区 题源 金币 操作
8 选择题 2018年 陕西 真题 2币 查看
8 选择题 2018年 陕西 真题 2币 查看
8 选择题 2018年 陕西 真题 2币 查看
8 选择题 2018年 陕西 真题 2币 查看
8 选择题 2018年 陕西 真题 2币 查看
8 选择题 2018年 陕西 真题 2币 查看
下载金币
5德优币(当前结余18德优币)
温馨提示
该试卷下载至自主题库后,下载、备课永久免费!
试题找茬
纠错类型
纠错描述
温馨提示
共享试题、试卷经平台审核通过后方可展示,并永久享用用户下载分红权!
平行组卷明细
2024-2025学年陕西省西安市未央区五年级(下)期末数学试卷的细目表
  • 题号
  • 考点
  • 操作
  • 1
  • 倒数的认识,分数的加法和减法,
  • 查看
  • 2
  • 用字母表示数,
  • 查看
  • 3
  • 分数四则复合应用题,
  • 查看
  • 4
  • 时、分、秒及其关系、单位换算与计算,体积、容积进率及单位换算,
  • 查看
  • 5
  • 根据情景选择合适的计量单位,
  • 查看
  • 6
  • 露在外面的面,规则立体图形的表面积,
  • 查看
  • 7
  • 长方体、正方体表面积与体积计算的应用,
  • 查看
  • 8
  • 数与形结合的规律,
  • 查看
  • 9
  • 负数的意义及其应用,
  • 查看
  • 10
  • 分数乘法应用题,
  • 查看
  • 11
  • 长方体的特征,
  • 查看
  • 12
  • 分数乘法,
  • 查看
  • 13
  • 商的变化规律,
  • 查看
  • 14
  • 分数的加法和减法,
  • 查看
  • 15
  • 分数的意义和读写,
  • 查看
  • 16
  • 长方体和正方体的体积,
  • 查看
  • 17
  • 分数的加法和减法,
  • 查看
  • 18
  • 图形的拼组,
  • 查看
  • 19
  • 统计图的选择,
  • 查看
  • 20
  • 分数除法,
  • 查看
  • 21
  • 长方体的展开图,
  • 查看
  • 22
  • 面积和面积单位,长度的测量方法,长方体和正方体的体积,
  • 查看
  • 23
  • 分数的加法和减法,分数乘法,分数除法,分数的四则混合运算,
  • 查看
  • 24
  • 运算定律与简便运算,分数的四则混合运算,
  • 查看
  • 25
  • 小数方程求解,分数方程求解,
  • 查看
  • 26
  • 分数的加法和减法,
  • 查看
  • 27
  • 在平面图上标出物体的位置,根据方向和距离确定物体的位置,
  • 查看
  • 28
  • 分数大小的比较,
  • 查看
  • 29
  • 长方体和正方体的体积,探索某些实物体积的测量方法,
  • 查看
  • 30
  • 分数加减法应用题,百分数的实际应用,
  • 查看
  • 31
  • 复式折线统计图,统计图表的填补,从统计图表中获取信息,
  • 查看
细目重组明细
2024-2025学年陕西省西安市未央区五年级(下)期末数学试卷的细目表
  • 题号
  • 考点
  • 选题
  • 1
  • 倒数的认识,分数的加法和减法,
  • 查看
  • 2
  • 用字母表示数,
  • 查看
  • 3
  • 分数四则复合应用题,
  • 查看
  • 4
  • 时、分、秒及其关系、单位换算与计算,体积、容积进率及单位换算,
  • 查看
  • 5
  • 根据情景选择合适的计量单位,
  • 查看
  • 6
  • 露在外面的面,规则立体图形的表面积,
  • 查看
  • 7
  • 长方体、正方体表面积与体积计算的应用,
  • 查看
  • 8
  • 数与形结合的规律,
  • 查看
  • 9
  • 负数的意义及其应用,
  • 查看
  • 10
  • 分数乘法应用题,
  • 查看
  • 11
  • 长方体的特征,
  • 查看
  • 12
  • 分数乘法,
  • 查看
  • 13
  • 商的变化规律,
  • 查看
  • 14
  • 分数的加法和减法,
  • 查看
  • 15
  • 分数的意义和读写,
  • 查看
  • 16
  • 长方体和正方体的体积,
  • 查看
  • 17
  • 分数的加法和减法,
  • 查看
  • 18
  • 图形的拼组,
  • 查看
  • 19
  • 统计图的选择,
  • 查看
  • 20
  • 分数除法,
  • 查看
  • 21
  • 长方体的展开图,
  • 查看
  • 22
  • 面积和面积单位,长度的测量方法,长方体和正方体的体积,
  • 查看
  • 23
  • 分数的加法和减法,分数乘法,分数除法,分数的四则混合运算,
  • 查看
  • 24
  • 运算定律与简便运算,分数的四则混合运算,
  • 查看
  • 25
  • 小数方程求解,分数方程求解,
  • 查看
  • 26
  • 分数的加法和减法,
  • 查看
  • 27
  • 在平面图上标出物体的位置,根据方向和距离确定物体的位置,
  • 查看
  • 28
  • 分数大小的比较,
  • 查看
  • 29
  • 长方体和正方体的体积,探索某些实物体积的测量方法,
  • 查看
  • 30
  • 分数加减法应用题,百分数的实际应用,
  • 查看
  • 31
  • 复式折线统计图,统计图表的填补,从统计图表中获取信息,
  • 查看
视频讲解
温馨提示
视频讲解正在加载中、请等待!
视频解析购买
支付方式
德优币数
本次消耗0德优币
温馨提示

客服电话:400-816-0029,服务邮箱:610066832@qq.com

视频资源

选择考点
存放类型
已选考点

平行组卷卷生成中,请等待

组卷异常提醒
温馨提示
试题篮存在未完成组卷,请前往组卷页面-组卷管理,点击“完成组卷”后,方可修改或添加试卷!