首页 | 客服 | 上传赚现
AI助手
德优题库AI助手

AI助手

搜题▪组卷

(1)

服务热线

400-816-0029

    自建题库,必找德优

德优题库QQ交流群

首页 > 试卷详情
德优网2024陕西省西安市碑林区西工大附中初中英语中考模拟

2024年陕西省西安市西北工大附中中考英语八模试卷

试卷总分:120分    命题人:dyczyyyn    考试时长:120分钟

一、听力题(13小题共30分)
1. (本题1分) A.By taxi.
B.By car.
C.By train.
2. (本题1分) A.Lucy's son.
B.Lucy's brother.
C.Lucy's father.
3. (本题1分) A.In a village.
B.On a farm.
C.In the forest.
4. (本题1分) A.Short and straight.
B.Long and straight.
C.Short and curly.
5. (本题1分) A.300 dollars.
B.200 dollars.
C.100 dollars.
6. (本题1分) A.Join a Chinese club.
B.Find a Chinese pen friend.
C.Watch Chinese movies.
7. (本题1分) A.Giraffes.
B.Koalas.
C.Elephants.
8. (本题1分)  A.A baseball bat.
B.A road map.
C.A geography book.
9. (本题1分) A.Sarah's.
B.Sarah's sister's.
C.Sarah's cousin's.
10. (本题1分) A.Next Tuesday.
B.Next Wednesday.
C.Next Thursday.
11. (本题4分) 11. What musical instrument does Mark play?
A.The drums.
B.The guitar.
C.The violin.
12. What does Lily plan to do tomorrow?
A.Tour the college.
B.Go to the concert.
C.Study for a test.
12. (本题6分) 13. When does Billy promise to take the dog for walks?
A.Every morning.
B.Every afternoon.
C.Every evening.
14. How much money does Billy have in the bank?
A.Almost $50.
B.Almost $100.
C.Almost $200.
15. What does the woman suggest doing?
A.Talking to Billy's father.
B.Buying some dog food.
C.Going to the pet store.
13. (本题10分) 16. Mike spent the        with Tony.
17. Tony is an exchange student from        .
18. Tony is        and heavy with curly blond hair.
19. Mike and Tony        once a week.
20. Tony's family eats dinner at        p.m.
二、完形填空(2小题共20分)
14. (本题10分)     Just last week,I was sitting on my front steps of my house.Suddenly,my friend John asked, "Hey,what are you doing?" I said, "Our teacher gave us (21)        task to make a cake.I was thinking about the steps."
     "It's impossible for me to finish it by Saturday.It's too difficult, (22)        we're not given too much time to do this."I said.John seemed quiet and patient.He pointed, "The recipe says that some things(23)       ahead of time.Maybe we can do one or two things each day and then we can put everything together(24)       Saturday morning."
     John and I went to a store near my home (25)        for ingredients.After that,we took back all the parts we could make ahead of time and made a schedule.Then we wrote(26)       down by using pens of different colors.Every day of that week,John and I made at least one or two things on our schedule.It was a good thing.Saturday(27)        came.When I put the cake in front of the teacher,she said in surprise," (28)       !"
     So,whether it's a huge school report or a recipe with many steps,there is a way to finish a very great project. (29)       the impossible thing down into smaller possible parts.Then, (30)        you make a schedule and do one part at a time,you will really get it done.

21.? A.a B.an C.the D./
22.? A.so B.because C.but D.or
23.? A.can prepare B.prepare C.is prepared D.can be prepared
24.? A.at B.on C.in D.for
25.? A.to shop B.shop C.shopped D.shopping
26.? A.they B.their C.them D.theirs
27.? A.suddenly B.sudden C.final D.finally
28.? A.What wonderful the birthday cake is B.How wonderful the birthday cake is C.How a wonderful the birthday cake is D.What a wonderful the birthday cake is
29.? A.Break B.To break C.Breaking D.Broken
30.? A.unless B.if C.until D.though
15. (本题10分)     To change is to risk something,making us feel insecure (不安全的).I used to be a very self-centered person,but in the past two years I have really(31)       .I have started to think about other people before I think about myself.I am happy that I am becoming a(32)       person.
     I think my turning(33)       started when I was at Palomar College.At first,I just wanted to get my degree and be(34)       .Because I thought I was smarter than everyone else,I seldom talked to anyone in my class.By the end of(35)       first semester,I was really lonely.It seemed as if everyone had made friends and was having fun(36)       me.So I tried an experience.I started asking people around me how they were doing that,and I would(37)       to help if they were having trouble.That was really a big step for me.By the end of the year,I had made several new friends,(38)       two of them are still my best friends today.Gradually,I made more friends,and was influenced by my friends.
     I think I am much better today than I used to be,and I hope I will not forget these(39)       .They have(40)       me to care about other people more than about myself.I like who I am today,and I could not say that a few-years ago.

31.? A.grown B.changed C.understood D.regretted
32.? A.confident B.helpful C.smart D.careful
33.? A.point. B.crowd C.ending D.beginning
34.? A.looked for B.asked for C.cared for D.waited for
35.? A.my B.his C.her D.their
36.? A.besides B.over C.from D.except
37.? A.refuse B.offer C.happen D.provide
38.? A.but B.so C.and D.or
39.? A.experiences B..sadness C.achievements D.happiness
40.? A.allowed B.asked C.advised D.taught
三、阅读理解(4小题共20分)
16. (本题5分) You may know how to make a paper airplane,but can you make a paper helicopter(直升机)?Here's how!
You'll need one piece of paper and one paper clip(回形针).
德优题库 Steps:
1.Put the paper over this page.Trace(沿着)the pattern below onto the paper.
德优题库 2.Fold the sides...
德优题库 3.Hold the helicopter by the bottom and throw it hard into the air.
What happened?
   Instead of falling straight to the ground,the helicopter will spin(旋转)its wings and fall slowly
   In a real helicopter,if the engine(引擎)suddenly stops,the pilot lets the helicopter's blade(浆)turn freely,The helicopter will spin its blades just the way your paper helicopter does,and it will move to a safe landing.
41. After reading the text,we can learn how to        .
A.make a helicopter
B.B.draw a helicopter
C.fly a paper helicopter
D.make a paper helicopter
42. Which question does this text explain?        
A.What thingould we prepare?
B.Who is interested in this activity?
C.Why does the paper helicopter fall straight to the ground?
D.How many stepould we do to draw a helicopter?
43. What kind of text is this?        
A.A guide.
B.A notice.
C.An instruction.
D.An advertisement
17. (本题4分)     Last weekend,I watched a great movie called Ballerina.It tells how important a dream is.
     A young girl,Felicia,grew up in an orphanage(孤儿院).She wore old clothes and had to do a lot of housework.But she dreamed of going to a dance school in Paris and become a ballet (芭蕾)dancer.People in the orphanage knew Felicia's dream,but they all laughed at her.Only her best friend,Victor,said Felicia's dream would come true.Victor made a flying machine by himself.Using this machine,Felicia and Victor flew out of the orphanage and went to Paris.
     To learn ballet,Felicia told others that her name was Camille and that she was from a rich family.Later,however,the teacher learned that Felicia told a lie.He asked Felicia to join in a dance competition.If she won the competition,she could stay there.But Felicia didn't win.She went back to the orphanage,but kept practicing every day.The gatekeeper saw her hard work and took Felicia back to Paris.Felicia joined in the competition again.This time,she showed her marvelous dance.Through years of hard work,Felicia became a real ballet dancer at last.
     If you want to make your dream come true,you have to work hard.Feel your dream with your heart,and follow it.Never give up-that is what the movie has taught me.

44. From the passage,we can know Felicia        .
A.was from a rich family
B.went to Paris only once
C.won the competition at last
D.was very talented in ballet dance
45. The underlined word "marvelous" probably means        .
A.funny
B.fantastic
C.serious
D.common
46. We can infer from the passage that Victor is very        .
A.creative
B.shy
C.outgoing
D.quiet
18. (本题6分)     When we talk about communication,we often think of communicating with others.But do you know that we also do communication with ourselves from time to time?Picture this;Your mom asks you what you would like for breakfast.Many foods come to your mind:pancakes,bread,porridge ...You think that it would be great to have pancakes.Until you tell your mom what you want to eat,you are communicating with yourself.
     We call this kind of communication.intrapersonal communication (自我沟通).This can be talking to ourselves,reading,writing,thinking,understanding and remembering something.
     Intrapersonal communication plays a big role in our lives.Good intrapersonal communication allows you to understand yourself better.When you're comfortable with who you are,and you know what you want,you can better get on with yourself.Also,intrapersonal communication helps you to keep an eye on your thoughts and feelings.When you find that your mind is full of negative thoughts and feelings,and they make you sad,you will try to cheer up and get rid of these bad thoughts and feelings.
     What's more,intrapersonal communication helps with your communication with others.Understanding your thoughts and feelings better allows you to put yourself in others' shoes when you talk to or listen to them.Then,you can better understand and get on with them.

47. How does the writer explain the idea of intrapersonal communication in Paragraph 1?        
A.He gives an example.
B.He provides numbers.
C.He makes a comparison.
D.He asks and answers a question.
48. From Paragraph 3,we can learn about the        of intrapersonal communication.
A.right ways
B.good points
C.problems
D.rules
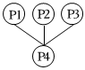
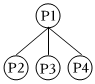
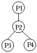
49. What's the structure (结构) of this passage?(Paragraph 1=①...)        
A. 德优题库
B. 德优题库
C. 德优题库
D. 德优题库
50. What is the best title for this passage?        
A.The importance of communication
B.Learn to communicate with yourself
C.How to communicate better with others
D.Get rid of negative thoughts through communication
19. (本题5分)     Life is filled with regrets. (51)       When we look back,we always wish that we have made better choices.Then what can we do to avoid regrets in the future?
     Make better plans.
     When you start to do something,you need to make a plan before doing it.The earlier,the better. (52)       You'll also know what you should do and what you shouldn't do.
     (53)       
     You can go around more often.More outdoor activities can keep you relaxed and active.You also need to be kind. "Thank you" can bring a smile on someone's face.Learn to say "sorry" and don't be angry with others.
     Make the right friend.
     Good friends will always better your ideas.A friend may make your life and can break your life as well. (54)       
     Never fear failure.
     Everybody fails.Even the greatest person failed.We should not fear the failure,because failure is not the end of the road. (55)       Life is good.We don't have to live in our past,but we do hope that we can plan better,live better and work better when we have the chance to do so.
     In summary,no matter what will happen in the future,we should face it bravely instead of regretting for the things we have never done or something wrong.

A.We had many dreams when we were young children.
B.You will know what comes first and what comes last.
C.So you have to think twice when you choose a friend.
D.We should take failure as a chance to learn and improve ourselves.
E.Almost all of us have no difficulty telling our regrets.
F.Build up your confidence.
G.Live a more active life.
四、完成句子(5小题共10分)
20. (本题2分) 对于每个学生来说,遵守校规很重要。
It's important for each student to follow school        .
21. (本题2分) 今年六月份我们就要参加中考了。
We are going to have the examinations to senior high school        .
22. (本题2分) 你应该对你做出的决定负责。
You should be        the decisions you've made.
23. (本题2分) 如今世界各地的人们都喜欢喝茶。
People around the world like        today.
24. (本题2分) 我们的父母亲在日常生活和学习中真的很关心我们。
Our parents        us in our daily life and study.
五、短文填空(1小题共10分)
25. (本题10分)
bad,know,eighth,importance,can,begin,be,people,hard,take
Bethany Hamilton,from Hawaii,likes surfing very much.She (61)       to surf when she was young.At the age of (62)       ,Bethany took part in her first surf competition and won.This started a love for surf competition in her.
     On October 31,2003,while she was surfing,a big shark came over to Bethany suddenly.The shark got her left arm,and hurt her (63)       .Luckily,she tried her best and swam back to the land.
     Bethany lost over 60% of her blood and was (64)        to hospital.The doctors saved her life.The girl was brave and strong-minded.Though she lost her arm,she(65)       still surf.Later,Bethany returned to the water.She didn't give up her dream of becoming a successful surfer,but she had to try her best to practice surfing much (66)        than before.
     The next year,Bethany got the first place in an(67)       surf competition.
     As time went by,people all over the world started to (68)       about Bethany and her story.In 2011,a movie about her was made to public,So far,she has (69)       one of good examples to teenagers through the story of a brave girl with strong mind and hope.Meanwhile,her story has already touched many (70)       hearts.
六、任务型阅读(1小题共10分)
26. (本题10分) Chinese people have enjoyed tea for thousands of years.It is said that ten was first found by Shennong about 5,00 years ago.The Classic of Tea written by Lu Yu teaches people how to Choose,make and drink tea.On November 29,202,China's traditional tea-making was added to the UNESCO intangible cultural heritage list(联合国教科文组织非物质文化遗产名录).
   Tea is important in everyday life.We drink tea when we are thirsty or sleepy.We treat(招待)guests tea politely.We serve our parents and teachers tea to show respect.At weddings,the husband and wife offer tea to their families.It's a way to show love and thanks.
   Now,the green leaves still make us think of the joys of life.On the app Xiaohongshu,the topic of"stove-boiled tea"(围炉煮茶)is hot.People sit around the stove and have snacks with their bot tea.Some also wear traditional hanfu as if they could go back to old times.
德优题库 Chart①
Kinds of tea
Chinese tea comes in six main types.They are different because they are made in different ways.
Here are some tips when you share tea with others in China
Do not fill the teacup fully.
Serve the tea with both of your hands.
Serve others before yourself.
Don't cross your legs when drinking tea
德优题库 Chart②
Sales of Six kinds of Tea in China in 2021
More than 3 million(百万)tons(吨)of tea were sold in China in 2021,and most of it was green tea.
71. When did Shennong find tea in China?
He found tea        .
72. According to Chart ①,why are there different kinds of Chinese tea?
Because they are made        .
73. Which word means"尊敬"in the passage?
It is        .
74. According to Chart ①how many tons of green tea were sold in China in 2021?
More than        million tons of green tea were old.
75. If you have a chance to serve tea to your teachers,do you want to do it?Why or why not?
       .
七、补全对话(1小题共5分)
27. (本题5分) A:Hi,Jack.Are you free tomorrow?
B:Yes.(76)       
A:I'm going to have lunch at a new Indian restaurant.Would you like to come with me?
B:I'd love to,but I'm not interested in Indian food.
A:What kind of food do you like then?
B:(77)       .How about the Chinese restaurant across from the Bank of China on Center Street?
A:Great!I also want to have a taste of it.
B:(78)       
A:By taxi.
B:(79)       
A:Let's meet at 11:30 a.m.at the school gate.
B:OK.(80)       
A:See you.
八、书面表达(1小题共15分)
28. (本题15分) 假如你是李华,你打算如何度过即将来临的暑假呢?请根据以下提示写一篇英语短文,谈谈你的暑假计划。
德优题库
要求:
(1)参考提示语,可适当发挥;
(2)语句通顺,意思连贯,书写工整;
(3)文章不得出现任何真实信息(姓名、校名和地名等);
(4)词数:不少于70词。(开头已给出,但不计入总词数。)
     My name is Li Hua.The summer vacation is coming.______
转载声明:
本题解析属于发布者收集录入,如涉及版权请向平台申诉! !版权申诉
温馨提示
对不起!这是别人共享的试卷,需要下载到自主题库后,可将该试卷添加到白板
试题下载
试题内容
调用试题名称
共享人
唐老师
试题题型
解答题
试题难度
试题题源
2020*西工大*期末
下载次数
168次
下载金币
5德优币(当前结余18德优币)
温馨提示
该试题下载至自主题库后,下载、备课永久免费!
相似题
试卷设置
试卷名称
省市校区
阶段科目
年份卷型
选择类型
已选考点
在线训练
可见权限
会员看题 会员看题和答案
试卷下载
试卷名称
调用试卷名称
共享人
唐老师
试卷卷型
1111
试卷难度
试卷来源
2020*西工大*期末
下载次数
168次
下载金币
5德优币(当前结余18德优币)
温馨提示
该试卷下载至自主题库后,下载、备课永久免费!
组卷付费
试卷名称
调用试卷名称
试卷来源
唐老师
试卷形式
全选 卷主 序号 卷型 难度 年份 省市区 题源 金币 操作
8 选择题 2018年 陕西 真题 2币 查看
8 选择题 2018年 陕西 真题 2币 查看
8 选择题 2018年 陕西 真题 2币 查看
8 选择题 2018年 陕西 真题 2币 查看
8 选择题 2018年 陕西 真题 2币 查看
8 选择题 2018年 陕西 真题 2币 查看
下载金币
5德优币(当前结余18德优币)
温馨提示
该试卷下载至自主题库后,下载、备课永久免费!
试题找茬
纠错类型
纠错描述
温馨提示
共享试题、试卷经平台审核通过后方可展示,并永久享用用户下载分红权!
平行组卷明细
2024年陕西省西安市西北工大附中中考英语八模试卷的细目表
  • 题号
  • 考点
  • 操作
  • 1
  • 听录音选单词/短语,
  • 查看
  • 2
  • 听录音选单词/短语,
  • 查看
  • 3
  • 听录音选单词/短语,
  • 查看
  • 4
  • 听录音选单词/短语,
  • 查看
  • 5
  • 听录音选单词/短语,
  • 查看
  • 6
  • 听录音选单词/短语,
  • 查看
  • 7
  • 听录音选单词/短语,
  • 查看
  • 8
  • 听录音选单词/短语,
  • 查看
  • 9
  • 听录音选单词/短语,
  • 查看
  • 10
  • 听录音选单词/短语,
  • 查看
  • 11
  • 听长对话,
  • 查看
  • 12
  • 听长对话,
  • 查看
  • 13
  • 听短文,
  • 查看
  • 14
  • 日常生活,记叙文,
  • 查看
  • 15
  • 个人情况,记叙文,
  • 查看
  • 16
  • 科普知识,说明文,
  • 查看
  • 17
  • 方法与哲理,记叙文,
  • 查看
  • 18
  • 人际交往,说明文,
  • 查看
  • 19
  • 计划与愿望,说明文,
  • 查看
  • 20
  • 可数名词及其单复数,
  • 查看
  • 21
  • 介词短语,
  • 查看
  • 22
  • 形容词短语,
  • 查看
  • 23
  • 动词短语,动名词作动词宾语,
  • 查看
  • 24
  • 动词短语,副词修饰动词,一般现在时,
  • 查看
  • 25
  • 家庭、朋友与周围的人,记叙文,
  • 查看
  • 26
  • 传统文化,应用文,
  • 查看
  • 27
  • 约会,
  • 查看
  • 28
  • 计划与愿望,说明文,
  • 查看
细目重组明细
2024年陕西省西安市西北工大附中中考英语八模试卷的细目表
  • 题号
  • 考点
  • 选题
  • 1
  • 听录音选单词/短语,
  • 查看
  • 2
  • 听录音选单词/短语,
  • 查看
  • 3
  • 听录音选单词/短语,
  • 查看
  • 4
  • 听录音选单词/短语,
  • 查看
  • 5
  • 听录音选单词/短语,
  • 查看
  • 6
  • 听录音选单词/短语,
  • 查看
  • 7
  • 听录音选单词/短语,
  • 查看
  • 8
  • 听录音选单词/短语,
  • 查看
  • 9
  • 听录音选单词/短语,
  • 查看
  • 10
  • 听录音选单词/短语,
  • 查看
  • 11
  • 听长对话,
  • 查看
  • 12
  • 听长对话,
  • 查看
  • 13
  • 听短文,
  • 查看
  • 14
  • 日常生活,记叙文,
  • 查看
  • 15
  • 个人情况,记叙文,
  • 查看
  • 16
  • 科普知识,说明文,
  • 查看
  • 17
  • 方法与哲理,记叙文,
  • 查看
  • 18
  • 人际交往,说明文,
  • 查看
  • 19
  • 计划与愿望,说明文,
  • 查看
  • 20
  • 可数名词及其单复数,
  • 查看
  • 21
  • 介词短语,
  • 查看
  • 22
  • 形容词短语,
  • 查看
  • 23
  • 动词短语,动名词作动词宾语,
  • 查看
  • 24
  • 动词短语,副词修饰动词,一般现在时,
  • 查看
  • 25
  • 家庭、朋友与周围的人,记叙文,
  • 查看
  • 26
  • 传统文化,应用文,
  • 查看
  • 27
  • 约会,
  • 查看
  • 28
  • 计划与愿望,说明文,
  • 查看
视频讲解
温馨提示
视频讲解正在加载中、请等待!
视频解析购买
支付方式
德优币数
本次消耗0德优币
温馨提示

客服电话:400-816-0029,服务邮箱:610066832@qq.com

视频资源

选择考点
存放类型
已选考点

平行组卷卷生成中,请等待

组卷异常提醒
温馨提示
试题篮存在未完成组卷,请前往组卷页面-组卷管理,点击“完成组卷”后,方可修改或添加试卷!