首页 | 客服 | 上传赚现
AI助手
德优题库AI助手

AI助手

搜题▪组卷

(1)

服务热线

400-816-0029

    自建题库,必找德优

德优题库QQ交流群

首页 > 试卷详情
德优网2025陕西省西安市雁塔区师大附中初中英语中考模拟

2025年陕西师大附中中考英语八模试卷

试卷总分:123分    命题人:dyczyyyn    考试时长:120分钟

一、听力题(13小题共30分)
1. (本题1分) A.Sorry.
B.Hello.
C.Welcome.
2. (本题1分) A.By car.
B.By subway.
C.By bus.
3. (本题1分) A.At the bus stop.
B.On the bus.
C.In the supermarket.
4. (本题1分) A.It will be warmer.
B.It will be hotter.
C.It will be colder.
5. (本题1分) A.Family rules.
B.Holiday plans.
C.Weekend activities.
6. (本题1分) A.In July.
B.In August.
C.In September.
7. (本题1分) A.The size.
B.The price.
C.The color.
8. (本题1分) A.Impolite.
B.Silly.
C.Friendly.
9. (本题1分) A.Chris.
B.Sarah.
C.Pam.
10. (本题1分) A.50 yuan.
B.35 yuan.
C.15 yuan.
11. (本题4分) 11. How long has Fiona been in the school music club?
A.For two months.
B.For two years.
C.For four years.
12. What will the boy do in the club?
A.Sing some songs.
B.Play the drums.
C.Play the erhu.
12. (本题6分) 13. Why are they arriving late?
A.Because of an accident.
B.Because of the bad weather.
C.Because of the heavy traffic.
14. How many days will they stay in this city?
A.14 days.
B.10 days.
C.7 days.
15. What is the speaker probably?
A.A tour guide.
B.A taxi driver.
C.A police officer.
13. (本题10分) 16. Betty and her         went to Xingqing Park by bike yesterday afternoon.
17. Jerry called Betty at about         yesterday afternoon.
18. Betty was         when Jerry phoned her.
19. Jerry found the English book         at school this morning.
20. Jerry is going to buy a new        .
二、完形填空(2小题共20分)
14. (本题10分)      In East China's Jiangxi province,noodles are more than just a dish—they're almost a way of life.
     In fact,most people here(21)       a day with a bowl of rice noodles every morning.(22)       is so popular that some locals have even compared having rice noodles to enjoying fresh sea food.
     Jiangxi is home to nearly 30,000 rice noodle restaurants.According to a report,Jiangxi(23)       more than 1.4 million tons of rice noodles in 2020.More than 60% of the foreign sales of China's rice noodles are from Jiangxi.
     This dish is also popular(24)       people from other parts of China.The report shows that people aged between 18 and 24 make up about 33% of customers.They often order rice noodles and takeaway meals online.The percentage rises to over 65% for customers under 30 years old.
     (25)       interesting and important to try local food for both locals and visitors?"Enjoying such a specialty(特产) is one way to get a real experience of local cooking culture,"explained a local food expert.He added that more effortould(26)       to find out the stories behind Jiangxi rice noodles.The charm(魅力) of this common dish comes from(27)       stories and such tastes—the noodles are prepared(28)       in each of Jiangxi's 11 cities.
     (29)       these noodles are such an important part of Jiangxi culture,locals have done their best(30)       its reputation(声誉) as a local specialty.

21.? A.started B.were starting C.start D.will start
22.? A.A dish B.The dish C.The dishes D.Dishes
23.? A.produced B.produces C.will produce D.has produced
24.? A.at B.with C.of D.on
25.? A.Why it is B.Why is it C.When it is D.When is it
26.? A.make B.be made C.see D.be seen
27.? A.it B.it's C.itself D.its
28.? A.different B.differently C.poor D.poorly
29.? A.Although B.Unless C.As D.Before
30.? A.to protect B.protect C.to perform D.perform
15. (本题10分)      Humor is part of human nature.Everyone has the ability to enjoy(31)       and laughter,no matter who they are or where they come from.Humor is one of the most important ways people make connections with each other.Humor also helps you look on the(32)       side of life and face problems positively.
     One sunny afternoon,the famous British writer Bernard Shaw was enjoying himself in a quiet field.Suddenly,a bike rider ran into him.(33)       ,Mr.Shaw was not hurt."I'm so sorry!"said the rider."Oh,no,"said Mr.Shaw."I should say(34)       because I'm not giving luck to you.If you had killed me,you know,you would be(35)       all over the world."
     Feng Jicai,the Chinese writer,was once visited by an American friend and his young child in a hotel.While the two men were talking,the little boy was jumping up and down on his bed.The bed was(36)       heavily.Feng was(37)       that it might break.He smiled to the boy,"Hey,boy!Are you trying to reach the sky?Will you return to the earth?" His friend understood at once,and said to his son jokingly."Let's(38)       right now!"
     Although different people may have a different sense of humor,good humor has something in common.First,you need to keep a cool head and an open mind.With humor,you can avoid some unnecessary conflicts (冲突),and sometimes it helps you(39)       even at the worst of your problems.Second,you need to be kind and understanding.In a(n)(40)       situation,using humor can let your friend save face.

31.? A.movies B.books C.sports D.jokes
32.? A.serious B.wrong C.bright D.dark
33.? A.Luckily B.Terribly C.Quickly D.Recently
34.? A.thanks B.sorry C.goodbye D.hello
35.? A.famous B.angry C.friendly D.relaxed
36.? A.flying B.walking C.shaking D.running
37.? A.glad B.sad C.excited D.worried
38.? A.come back B.come in C.come on D.come out
39.? A.cry B.shout C.laugh D.fear
40.? A.satisfying B.interesting C.embarrassing D.amazing
三、阅读理解(3小题共18分)
16. (本题6分)
Do you love sunflowers?This article will walk you through how to plant your sunflower seeds (种子) and care for them.Start it with the best temperatures:18 C--33℃.
Part 1 Germinating (使发芽) Sunflower Seeds
1.Choose one kind you like.
2.Put the seeds in a plastic bag.Cover the seeds with wet paper towels.Once the seeds germinate,plant them.
Part 2 Planting Sunflower Seeds
1.Choose a sunny location.Sunflowers grow best with six to eight hours of sunlight a day.
2.Plant the seeds in holes.Cover the seeds with soil after planting.
Part 3 Caring for Sunflower Plants
1.Water plants once a week.
2.Fertilize (施肥) a little or not at all.If you grow sunflowers for fun,there's no need to fertilize.
3.Harvest the seeds.Sunflowers usually take 80 to 120 days to mature (成熟) and produce new seeds.
Tips:
●Protect the young plants from pests(害虫).Cover the ground with nets(网).
●Support plants over 90 cm with sticks.
41. Which temperature is the most suitable to plant sunflowers?        
A. 德优题库
B. 德优题库
C. 德优题库
D. 德优题库
42. In which month may you harvest if you plant your seeds in April?        
A.October.
B.July.
C.May.
D.January.
43. In which part of a magazine can we probably read the passage?        
A.Nature.
B.Education.
C.Health.
D.Art.
17. (本题6分)     Have you heard the sentence "With copper(铜) as a mirror,you can straighten your clothes;with history as a mirror,you can know the ups and downs."Today I'm going to talk about my understanding of learning history.
     Many of you may think it is difficult to study history.A number of students hold a misunderstanding towards history study.However,every subject has its own value,including history.
     History is not just a study of the past,which we can learn a lot whether it's good or bad.History is the study of the people and events that will influence the future.In fact,if we study history,we can learn quite a lot about personal stories and events of people just like us.The people who came before us helped build and develop the country we are living in.Studying the past helps to see how their experiences have shaped our own lives.
     To be honest,.Some of what we study in history helps us understand the mistakes of the past.And these mistakes will help people not to make the same mistakes.People often learn from the past to have a better future.
     Whether we like the subject of history or not,we must understand the importance of the events and the people who came before us.Our ancestors' decisions have influenced our own life.Similarly,the decisions of our own generation(一代人) will finally influence those who come after us.In this only way,the world is truly connected.
     Therefore,learning history is necessary and important.We should make great efforts to learn it well.

44. Which sentence can be put in the▲?        
A.the mistakes of the past won't help us.
B.I don't like the idea of learning history.
C.it is not easy to learn the subject of history.
D.not everything that happened in the past is good.
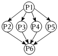
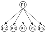
45. Which of the following best shows the structure of the text?(Pl=Paragraph 1,…)        
A. 德优题库
B. 德优题库
C. 德优题库
D. 德优题库
46. What's the writer's purpose in writing the passage?        
A.To introduce some important people in history.
B.To express the importance of learning history.
C.To explain different people's understanding of history.
D.To show the relationship between the past and the future.
18. (本题6分) 德优题库On April 24,2025,China sent the Shenzhou-20 crewed AA spacecraft(载人飞船),marking the 10th anniversary of"China Space Day"-a celebration of the country's achievements in space,starting with its first satellite,Dongfanghong-1,in 1970.This mission(任务) will carry three astronauts:Chen Dong,Chen Zhongrui and Wang Jie.Chen Dong,an experienced astronaut,has flown to space twice (Shenzhou-11 in 2016 and Shenzhou-14 in 2022),and is now set to become the first astronaut to complete three space missions.
     The other two members are new to space travel and will work as pilots and engineers.The Shenzhou-20 team will stay in China's space station for about six months.Their main tasks include:
     1.Crew Rotation(轮换):Replacing the Shenzhou-19 astronauts,who have been in space for over 150 days and will return to Earth on April 29.
     2.Science Experiments:They will study how living things live in space,such as zebrafish,planarian worms and streptomyces.These experiments aim to solve challenges for future long-term space travel.
     3.Spacewalks:The crew(工作人员) will fix equipment,repair the station,and test new technologies outside the spacecraft.
     During their mission,the astronauts will welcome the Tianzhou-9 cargo(货运)ship and the Shenzhou-21 crewed mission,making sure supplies and teamwork continue smoothly.They plan to return to Earth in late October 2025 at the Dongfeng Landing Site.

47. Which task is NOT mentioned for the Shenzhou-20 team?        
A.Recycling equipment outside the spacecraft.
B.Repairing the space station.
C.Testing new technologies.
D.Doing experiments on animals.
48. How long will the Shenzhou-19 astronauts stay in space before returning?        
A.About 6 months.
B.Over 150 days.
C.From October 2024 to April 2025.
D.Less than 120 days.
49. The Shenzhou-20 astronauts will welcome         during their mission.
①Tianzhou-9 cargo ship
②Shenzhou-21 crewed mission
③Shenzhou-19 astronauts
④Dongfeng Landing Site
A.①②.
B.①③.
C.②④.
D.③④.
50. What is the best title for this passage?        
A.China's First Satellite Dongfanghong-1.
B.The History of"China Space Day".
C.The Shenzhou-20 Crewed Space Mission.
D.Spacewalks in China's Space Station.
四、短文填空(1小题共5分)
19. (本题5分)     Did you know that your living space can greatly influence your mental(精神的)health? (51)       
     Add light
     There is no doubt that the lighting in your room or in your house can influence you.(52)       However,artificial(人造的) light may not help.It is better to let the natural sunlight come in to make you feel better.
     (53)       
     Living with nature will surely help you stay mentally healthy.Many studieow that green plants in your home can make you feel relaxed and even improve your mental health.
     Keep clean
     It is difficult to keep your space clean all the time.Having too many things in your room or your house can make you feel terrible. (54)        But looking at an untidy room can make you feel more stressed out.If you spend 10 or 15 minutes putting a few things away,you'll be surprised that you feel much better.
     Choose right colors
     The color used in your room or your house can also influence your mental health.It is a good idea to choose right colors. (55)       
Just remember:Improving your living space can improve your mental health.

A.Go green
B.That can make your house look more beautiful.
C.Buy more new things
D.You may be too busy to keep things tidy.
E.That can make you feel peaceful in some way.
F.If your room or your house is too dark,you may feel sad or worried.
G.Here is some advice that can help you live a more enjoyable life.
五、完成句子(5小题共10分)
20. (本题2分) 当人们有富余的钱时,大多数人选择把钱存到银行。
Most people choose to save their money         when they have extra money.
21. (本题2分) 每个学生都应养成良好的消费习惯。
Every student is supposed to form good spending        .
22. (本题2分) 我们必须明白,父母努力工作赚钱,而钱财也终有耗尽之日。
We need to know that our parents        to make money,and it may be used up one day.
23. (本题2分) 事实上,每个人都想在理财方面更加成功。
In fact,everyone wants to become         in money management.
24. (本题2分) 我们也应当树立明确的目标,理性消费。
We should also set         and spend money wisely.
六、选词填空(1小题共10分)
25. (本题10分)
teach student pride learn challenge important they make proper be
Last summer,I decided to take a part-time job to make some pocket money.It was my first time to work,and many valuable lessons were (61)        from the experience.
     I worked as a tutor for primary school (62)        Every afternoon,I helped (63)        with math and English homework.At first,it was (64)        because I had to explain difficult problems in simple ways.But after some practice,I became more confident and patient.
     The job (65)        me the true value of money.After making my own money,I understood how hard work is required to (66)        even a little money.However,balancing work and study was not easy.Sometimes I felt tired after teaching,but I still needed to finish my own homework.This experience helped me improve my time management skills.I learned to plan my time (67)        and avoid wasting time.
     The best part was making new friends.The children I tutored (68)        very lovely,and their parents were kind to me.When the summer ended,they thanked me and even gave me a small gift.I felt (69)        of my work.
     Looking back,my part-time job was tiring but worthy.It taught me responsibility,patience,and the (70)        of hard work.Now I am thankful for my parents"efforts more,and I will continue to look for chances to learn and grow.
七、任务型阅读(1小题共10分)
26. (本题10分)
E-books
德优题库 In the future,students may only bring e-books to school.In fact,some schools are already doing this.E-books can store notes and students feel relaxed with lighter schoolbags.
Robot teachers
德优题库 There are robot teachers in the schools in some cities.These robots can help students with their studies.They can also help them solve problems.
E-skates
德优题库 With a pair of e-skates,you can walk to school faster!E-skates can be tied to your shoes easily.And there are four speed settings you can choose.
Flying aids
德优题库 If students get hurt and need help at schools,drones can be of great use.They can offer help faster than people and they can also carry medicine or clothes.
71. Write the names of four technologies mentioned in the text.
       .
72. What does the underlined phrase"doing this"refer to in the passage?
It refers to        .
73. What is the best choice if you want to walk to school faster?
       .
74. How can drones help students at schools?
They can offer help faster and also        .
75. Make a proper title for the text in no more than 8 words with the words "Technologies.school life".
The title can be"        ".
八、补全对话(1小题共5分)
27. (本题5分) (Susan is talking with her mother at home.)
A:Susan,your birthday is coming.(76)       
B:Well,I don't want any gifts this year.I have something different in my mind.
A:(77)       
B:I plan to give away toys to a children's hospital.
A:That sounds amazing.Will you give away all your toys?
B:(78)       .I'll just keep a few of my favorites.
And I'll also ask my friends and classmates for some old toys so I can give away more.
A:(79)       .
B:Besides,I'll use some of my pocket money(零花钱) to buy more.
A:(80)       
B:I don't know exactly how much I have.But I've saved all my money into my piggy bank(猪形储钱罐).
A:Then let's go and count it.
B:OK.
九、书面表达(1小题共15分)
28. (本题15分) 悦动校园,燃动激情。陕西师范大学附属中学十五分钟课间活动已经成为校园里最美丽的一道风景线。你喜欢运动吗?请以"My favorite sport"为题,根据下列提示问题,写一篇英语短文,给学校的英文报刊投稿。
提示问题:
●What's your favorite sport and why do you like it?
●How often do you exercise and when do you often do it?
●What is your unforgettable story between sports and your personal growth?
参考词汇:physical health,feel relaxed,team spirit,make a difference to,bring joy to….
要求:
(1)短文必须包括所给要点,选择使用参考词汇,可适当发挥;
(2)语句通顺,意思连贯,书写工整:
(3)短文中不得出现你的任何真实信息(姓名、校名和地名等);
(4)词数:不少于70。(开头和结尾已给出,但不计入总词数。)
     Life lies in movement.As a middle school student.I believe sports play an important role in our daily life.Among all kinds of sports,______
转载声明:
本题解析属于发布者收集录入,如涉及版权请向平台申诉! !版权申诉
温馨提示
对不起!这是别人共享的试卷,需要下载到自主题库后,可将该试卷添加到白板
试题下载
试题内容
调用试题名称
共享人
唐老师
试题题型
解答题
试题难度
试题题源
2020*西工大*期末
下载次数
168次
下载金币
5德优币(当前结余18德优币)
温馨提示
该试题下载至自主题库后,下载、备课永久免费!
相似题
试卷设置
试卷名称
省市校区
阶段科目
年份卷型
选择类型
已选考点
在线训练
可见权限
会员看题 会员看题和答案
试卷下载
试卷名称
调用试卷名称
共享人
唐老师
试卷卷型
1111
试卷难度
试卷来源
2020*西工大*期末
下载次数
168次
下载金币
5德优币(当前结余18德优币)
温馨提示
该试卷下载至自主题库后,下载、备课永久免费!
组卷付费
试卷名称
调用试卷名称
试卷来源
唐老师
试卷形式
全选 卷主 序号 卷型 难度 年份 省市区 题源 金币 操作
8 选择题 2018年 陕西 真题 2币 查看
8 选择题 2018年 陕西 真题 2币 查看
8 选择题 2018年 陕西 真题 2币 查看
8 选择题 2018年 陕西 真题 2币 查看
8 选择题 2018年 陕西 真题 2币 查看
8 选择题 2018年 陕西 真题 2币 查看
下载金币
5德优币(当前结余18德优币)
温馨提示
该试卷下载至自主题库后,下载、备课永久免费!
试题找茬
纠错类型
纠错描述
温馨提示
共享试题、试卷经平台审核通过后方可展示,并永久享用用户下载分红权!
平行组卷明细
2025年陕西师大附中中考英语八模试卷的细目表
  • 题号
  • 考点
  • 操作
  • 1
  • 听录音选单词/短语,
  • 查看
  • 2
  • 听录音选单词/短语,
  • 查看
  • 3
  • 听录音选单词/短语,
  • 查看
  • 4
  • 听录音选句子,
  • 查看
  • 5
  • 听录音选单词/短语,
  • 查看
  • 6
  • 听录音选单词/短语,
  • 查看
  • 7
  • 听录音选单词/短语,
  • 查看
  • 8
  • 听录音选单词/短语,
  • 查看
  • 9
  • 听录音选单词/短语,
  • 查看
  • 10
  • 听录音选单词/短语,
  • 查看
  • 11
  • 听长对话,
  • 查看
  • 12
  • 听长对话,
  • 查看
  • 13
  • 听短文,
  • 查看
  • 14
  • 饮食,说明文,
  • 查看
  • 15
  • 人际交往,说明文,
  • 查看
  • 16
  • 科普知识,说明文,
  • 查看
  • 17
  • 语言/学习,说明文,
  • 查看
  • 18
  • 航空航天,说明文,
  • 查看
  • 19
  • 卫生与健康,居住环境,说明文,
  • 查看
  • 20
  • 介词短语,
  • 查看
  • 21
  • 可数名词及其单复数,
  • 查看
  • 22
  • 副词修饰动词,一般现在时,
  • 查看
  • 23
  • 形容词的比较级,
  • 查看
  • 24
  • 名词短语,
  • 查看
  • 25
  • 日常生活,记叙文,
  • 查看
  • 26
  • 科普知识,说明文,
  • 查看
  • 27
  • 意愿和打算,
  • 查看
  • 28
  • 兴趣爱好,其他应用文写作,
  • 查看
细目重组明细
2025年陕西师大附中中考英语八模试卷的细目表
  • 题号
  • 考点
  • 选题
  • 1
  • 听录音选单词/短语,
  • 查看
  • 2
  • 听录音选单词/短语,
  • 查看
  • 3
  • 听录音选单词/短语,
  • 查看
  • 4
  • 听录音选句子,
  • 查看
  • 5
  • 听录音选单词/短语,
  • 查看
  • 6
  • 听录音选单词/短语,
  • 查看
  • 7
  • 听录音选单词/短语,
  • 查看
  • 8
  • 听录音选单词/短语,
  • 查看
  • 9
  • 听录音选单词/短语,
  • 查看
  • 10
  • 听录音选单词/短语,
  • 查看
  • 11
  • 听长对话,
  • 查看
  • 12
  • 听长对话,
  • 查看
  • 13
  • 听短文,
  • 查看
  • 14
  • 饮食,说明文,
  • 查看
  • 15
  • 人际交往,说明文,
  • 查看
  • 16
  • 科普知识,说明文,
  • 查看
  • 17
  • 语言/学习,说明文,
  • 查看
  • 18
  • 航空航天,说明文,
  • 查看
  • 19
  • 卫生与健康,居住环境,说明文,
  • 查看
  • 20
  • 介词短语,
  • 查看
  • 21
  • 可数名词及其单复数,
  • 查看
  • 22
  • 副词修饰动词,一般现在时,
  • 查看
  • 23
  • 形容词的比较级,
  • 查看
  • 24
  • 名词短语,
  • 查看
  • 25
  • 日常生活,记叙文,
  • 查看
  • 26
  • 科普知识,说明文,
  • 查看
  • 27
  • 意愿和打算,
  • 查看
  • 28
  • 兴趣爱好,其他应用文写作,
  • 查看
视频讲解
温馨提示
视频讲解正在加载中、请等待!
视频解析购买
支付方式
德优币数
本次消耗0德优币
温馨提示

客服电话:400-816-0029,服务邮箱:610066832@qq.com

视频资源

选择考点
存放类型
已选考点

平行组卷卷生成中,请等待

组卷异常提醒
温馨提示
试题篮存在未完成组卷,请前往组卷页面-组卷管理,点击“完成组卷”后,方可修改或添加试卷!