首页 | 客服 | 上传赚现
AI助手
德优题库AI助手

AI助手

搜题▪组卷

(1)

服务热线

400-816-0029

    自建题库,共享分红

德优题库QQ交流群

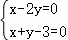
246544. (2023•西工大附中•八上期末) xy为实数,且,则x+y的值为      
共享时间:2023-02-04 难度:2
[考点]
非负数的性质:偶次方,非负数的性质:算术平方根,
[答案]
3.
[解析]
解:∵

解得:
x+y=3.
故答案为:3.
[点评]
本题考查了"非负数的性质:偶次方,非负数的性质:算术平方根,",属于"易错题",熟悉题型是解题的关键。
转载声明:
本题解析属于发布者收集录入,如涉及版权请向平台申诉! !版权申诉
197686. (2024•高新一中•八上期中) 已知实数mn满足,则mn等于        
 
共享时间:2024-11-12 难度:2 相似度:2
176088. (2024•西安八十三中•八上一月) 已知|a+4|+b2+=6b﹣9.则ab﹣2c        
共享时间:2024-10-18 难度:2 相似度:1.67
27725. (2023•爱知中学•八上一月) 已知 +(b-4)2=0,那么以a、b为边长的直角三角形的面积为        
共享时间:2023-10-18 难度:3 相似度:1.67
198277. (2023•高新一中•八上期中) 已知xy为实数,且,则xy的立方根是      
 
共享时间:2023-11-16 难度:3 相似度:1.67
244600. (2023•高新一中•八上期末) 若|a+2|+=0,则点Pab)关于x轴对称的点的坐标为             
 
共享时间:2023-02-12 难度:1 相似度:1.5
175799. (2024•理工大附中•八上一月) ,则(a+b2024      
共享时间:2024-10-21 难度:1 相似度:1.5
196912. (2024•交大附中•七上期末) 已知|a+2|+(3-b)2=0,则ab的值是        
共享时间:2024-02-12 难度:1 相似度:1.5
198866. (2022•滨河中学•七上期中) 若|m+3|+(n-2)2=0,则m+n=       
共享时间:2022-11-11 难度:1 相似度:1.5
192411. (2023•西工大附中•八上一月) 求代数式的最小值                 
 
共享时间:2023-10-22 难度:1 相似度:1.5
244144. (2023•师大附中•七下期末) △ABC的三边a,b,c满足(3-a)2+|7-b|=0且c为偶数,则△ABC的周长为        
共享时间:2023-07-15 难度:1 相似度:1.5
180014. (2024•师大附中•七下二月) 若(a+3y)2=16+by+9y2,则b=       
共享时间:2024-06-28 难度:1 相似度:1.5
173120. (2024•高新三中•八上一月) 如果互为相反数,那么x2+y     
共享时间:2024-10-15 难度:1 相似度:1.5
198427. (2022•爱知中学•八上期中) |=0,则4a﹣2a2+b                  
共享时间:2022-11-23 难度:1 相似度:1.5
173372. (2024•爱知中学•八上一月) 已知,则以xyz为边长的三角形是        三角形
共享时间:2024-10-30 难度:3 相似度:1.5
173353. (2024•爱知中学•八上一月) 已知,则以xyz为边长的三角形是        三角形.
共享时间:2024-10-28 难度:3 相似度:1.5

csyn@dyw.com

2023-02-04

初中数学 | 八年级上 | 填空题

  • 下载量
  • 浏览量
  • 收益额
  • 0
  • 1
  • 0
相同试题
试题下载
试题内容
调用试题名称
共享人
唐老师
试题题型
解答题
试题难度
试题题源
2020*西工大*期末
下载次数
168次
下载金币
5德优币(当前结余18德优币)
温馨提示
该试题下载至自主题库后,下载、备课永久免费!
试卷设置
试卷名称
省市校区
阶段科目
年份卷型
选择类型
已选考点
在线训练
视频讲解
温馨提示
视频讲解正在加载中、请等待!
温馨提示
对不起!这是别人共享的试题,需要下载到自主题库后,可将该试题添加到白板
视频解析购买
支付方式
德优币数
本次消耗0德优币
温馨提示

客服电话:400-816-0029,服务邮箱:610066832@qq.com

视频资源

试题找茬
纠错类型
纠错描述
温馨提示
共享试题、试卷经平台审核通过后方可展示,并永久享用用户下载分红权!