首页 | 客服

王老师初中数学

欢迎登录德优题库!

登录/注册 | 通知 | 退出
AI助手
德优题库AI助手

AI助手

搜题▪组卷

(1)

服务热线

400-816-0029

    自建题库,共享分红

德优题库QQ交流群

244384. (2023•高新一中•七上期末) 某工程队需动用14台挖土、运土机械,每台每小时能挖土4m3或运土3m3,为了使挖出的土能及时运走,设安排x台机械挖土,则可列方程为(  )
A.4x-3x=14
B.4x=3(14-x)
C.3x=4(14-x)
D.3x+4x=14
时间:2025-10-15 难度:1
[考点]
由实际问题抽象出一元一次方程,
[答案]
B
[解析]
解:设安排x台机械挖土,则安排(14﹣x)台运土,由题意得:
4x=3(14﹣x).
故选:B
[点评]
本题考查了"由实际问题抽象出一元一次方程,",属于"基础题",熟悉题型是解题的关键。
244857. (2023•西工大附中•七上期末) 我国很早就在生产生活中发现了许多有趣的数学问题,其中《孙子算经》中有个问题:今有四人共车,一车空;二人共车,八人步,问人与车各几何?这道题的意思是:今有若干人乘车,每4人乘一车,最终剩余1辆车,若每2人共乘一车,最终剩余8个人无车可乘,问有多少人,多少辆车?如果我们设有x辆车,则可列方程(  )
A.4(x﹣1)=2x+8               B.4(x+1)=2x﹣8  
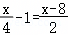
C.  D.
时间:2025-10-16 难度:1 相似度:2
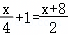
190003. (2025•爱知中学•七上期末) 一条山路,某人从山下往山顶走3小时还有1千米才到山顶,若从山顶走到山下只用150分钟,且下山速度是上山速度的1.5倍,求山下到山顶的路程.设上山速度为x千米/分钟,则所列方程为(  )
A.x﹣1=5×1.5x                 B.3x+1=50×1.5x  
C.             D.180x+1=150×1.5x
时间:2025-05-30 难度:1 相似度:2
244725. (2023•铁一中学•七上期末) 在“垃圾分类”活动中,实践组有23人,宣传组有16人.应从宣传组调多少人到实践组,才能使实践组的人数是宣传组的两倍?设从宣传组调x人到实践组,则可列方程为(  )
A.23-x=2×16+x B.23+x=2×16-x
C.23-x=2(16+x) D.23+x=2(16-x)
时间:2025-10-16 难度:1 相似度:2
197071. (2023•汇知中学•七上期末) 德优题库某车间生产圆形铁片和长方形铁片,两个圆形铁片和一个长方形铁片可以制作成一个油桶(如图),已知该车间有工人42人,每个工人平均每小时可以生产圆形铁片120片或长方形铁片80片,为使生产的铁片恰好配套,设安排x人生产圆形铁片,可列方程(  )
A.80x=2×120(42-x) B.2×80x=120(42-x)
C.120x=2×80(42-x) D.2×120x=80(42-x)
时间:2025-06-11 难度:1 相似度:2
196907. (2024•交大附中•七上期末) 某小组计划做一批中国结,如果每人做6个,那么比计划多做了9个,如果每人做4个,那么比计划少7个.设计划做x个“中国结”,可列方程(  )
A.
B.
C.
D.
时间:2025-06-11 难度:1 相似度:2
196763. (2024•铁一中学•七上期末) 某微信平台将一件商品按进价提高40%后标价,又以八折优惠卖出,结果每件仍获利68元,这件商品的进价是多少元?若设这种商品每件的进价是x元,那么所列方程为(  )
A.40%(1+80%)x=68 B.80%(1+40%)x-x=68
C.x-80%(1+40%)x=68 D.80%(1-40%)x-x=68
时间:2025-06-11 难度:1 相似度:2
196618. (2024•西工大附中•七上期末) 《孙子算经》中有一道题,原文是:今有三人共车,二车空;二人共车,九人步,问人与车各几何?译文为:今有若干人乘车,每3人共乘一车,最终剩余2辆车;若每2人共乘一车,则最终剩余9个人无车可乘,问共有多少人,多少辆车?设共有x人,则可列方程为(  )
A.﹣9
B.+2= 
C.﹣2=  
D.+9
时间:2025-06-11 难度:1 相似度:2
196517. (2024•莲湖区•七上期末) 港珠澳大桥是中华人民共和国境内一座连接香港、广东珠海和澳门的桥隧工程,也是世界上总体跨度最长的跨海大桥,全长55千米,其中包含6.7千米的海底隧道.一辆车长12米的过境巴士以72km/h的速度匀速通过海底隧道,从车头进入隧道口开始计时,至车尾恰好离开隧道,共用多少时间?设经过x h后巴士恰好完全通过隧道,依据题意列方程(  )
A.20x=55 B.72x=6.7
C.20x=6700+12 D.72x=6.712
时间:2025-06-11 难度:1 相似度:2
196268. (2024•高新一中•七上期末) 我国古代数学著作《增删算法统宗》记载“绳索量竿”问题:“一条竿子一条索,索比竿子长一托.折回索子却量竿,却比竿子短一托.”其大意为:现有一根竿和一条绳索,用绳索去量竿,绳索比竿长5尺;如果将绳索对半折后再去量竿,就比竿短5尺.设绳索长x尺.则符合题意的方程是(  )
A.x=(x﹣5)﹣5               B.x=(x+5)+5   
C.2x=(x﹣5)﹣5               D.2x=(x+5)+5
时间:2025-06-10 难度:1 相似度:2
195964. (2025•莲湖区•七上期末) 用白铁皮做罐头盒,每张铁皮可制盒身25个或制盒底40个,一个盒身与两个盒底配成一套.现在有36张白铁皮,若用x张制盒身,剩下的制盒底,可使所制的盒身与盒底正好配套,则下面所列方程正确的是(  )
A.2×25x=40(36-x) B.2×40x=25(36-x)
C.40x=2×25(36-x) D.25x=2×40(36-x)
时间:2025-06-10 难度:1 相似度:2
195833. (2025•西咸新区•七上期末) 某同学骑车从学校到家,平时每分骑行200米,某天回家时,速度提高到每分骑行300米,结果提前5分回家,设平时从学校到家骑车用x分,则列方程为(  )
A.200x=300(x+5) B.200(x+5)=300x
C.200x=300(x-5) D.200(x-5)=300x
时间:2025-06-09 难度:1 相似度:2
195760. (2025•曲江一中•七上期末) 我国古代著作《增删算法统宗》中记载了一首古算诗:“林下牧童闹如簇,不知人数不知竹.每人六竿多十四,每人八竿少二竿.”若设牧童x人,根据题意,可列方程(  )
A.6x+14=8x+2
B.6x-14=8x+2
C.6x+14=8x-2
D.6x-14=8x-2
时间:2025-06-09 难度:1 相似度:2
740. (2019•浠水县团陂镇松山初级中学•期末) 某微信平台将一件商品按进价提高40%后标价,又以八折优惠卖出,结果每件仍获利48元,这件商品的进价是多少元?若设这种商品每件的进价是x元,那么所列方程为(  )
A.40%1+80%x48 B.80%1+40%xx48
C.x80%1+40%x48 D.80%140%xx48
时间:2021-01-22 难度:3 相似度:2
190403. (2025•铁一中学•七上期末) 明代《算法纂要》书中有一题:“牧童分杏各争竞,不知人数不知杏.三人五个多十枚,四人八枚两个剩.问有几个牧童几个杏?”题目大意是:牧童们要分一堆杏,不知道人数也不知道有多少个杏.若3人一组,每组5个杏,则多10个杏.若4人一组,每组8个杏,则多2个杏.有多少个牧童,多少个杏?设共有x个牧童,则下列方程正确的是(  )
A..3×5x+10=4×8x+2           B.                                       
C.           D.
时间:2025-05-30 难度:1 相似度:2
190552. (2025•交大附中•七上期末) 元朝朱世杰所著的《算学启蒙》中,记载了这样一道题:良马日行二百四十里,驽马日行一百六十里,驽马先行一十二日,问良马几何日追及之?其大意是:快马每天行240里,慢马每天行160里,慢马先行12天,快马几天可追上慢马?若设快马x天可追上慢马,由题意得(  )
A.                    B.
C.240(x﹣12)=160x            D.240x=160(x+12)
时间:2025-05-30 难度:1 相似度:2

csyn@dyw.com

2025-10-15 21:29

初中数学 | 七年级上 | 选择题

  • 下载量
  • 浏览量
  • 收益额
  • 0
  • 3
  • 0
本地下载 加入白板
收藏 更多功能
试题下载
试题内容
调用试题名称
共享人
唐老师
试题题型
解答题
试题难度
试题题源
2020*西工大*期末
下载次数
168次
下载金币
5德优币(当前结余18德优币)
温馨提示
该试题下载至自主题库后,下载、备课永久免费!
试卷设置
试卷名称
省市校区
阶段科目
年份卷型
选择类型
已选考点
在线训练
共享设置
共享金额
审核时间
2023-02-24 09:27
温馨提示
共享试题、试卷经平台审核通过后方可展示,并永久享用用户下载分红权!
共享声明
温馨提示
您的自主题库目前尚未开通该阶段科目,下载后除加入组卷和本地下载外,该科目所在的自主题库其他功能正常使用!
试题下载
文件格式
公式格式
纸张大小
答案类型
温馨提示
下载本地后,若出现文字与公式未居中显示!请全选中(Ctrl+A)-右键单击-段落-字体居中即可

word试卷生成中,请等待...

温馨提示
该试题删除后、不可找回、不影响组卷试卷的!
     
相同试题
视频讲解
温馨提示
视频讲解