服务热线
搜题▪组卷
A.碱基、脱氧核糖、磷酸、氨基酸
B.碱基、核糖、磷酸、葡萄糖
C.碱基、葡萄糖、磷酸、甘油、脂肪酸
D.碱基、核糖、磷酸、氨基酸
A.该类化合物是RNA的基本组成单位
B.该类化合物可以水解生成6种小分子物质
C.组成该类化合物的碱基有A、U、C、G四种
D.该类化合物由小分子物质磷酸、脱氧核糖、碱基组成
| 生物 | 核酸种类 | 遗传物质的核苷酸种类 | 变异来源 | |
| A | 玉米 | 2 | 4 | 基因突变、基因重组、染色体变异 |
| B | 酵母菌 | 4 | 4 | 基因突变、基因重组 |
| C | 大肠杆菌 | 1 Ai |
8 | 基因突变 |
| D | T2噬菌体 | 1 | 4 | 基因重组 |
A.A
B.B
C.C
D.D
A.该物质是核糖核苷酸
B.该物质形成的大分子物质是RNA,它只分布在细胞质中
C.该物质含有C、H、O、N、P五种元素
D.该物质参与构成新型冠状病毒
A.DNA与RNA在核苷酸上的不同点只在②方面
B.若②为核糖,则图示核苷酸为DNA的基本组成单位
C.③在生物体中共有8种
D.人体内的③有5种,②有2种




A.氨基酸、葡萄糖、含氮碱基
B.核糖、含氮碱基、磷酸
C.氨基酸、核苷酸、葡萄糖
D.脱氧核糖、含氮碱基、磷酸
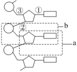
A.若m为腺嘌呤,则b肯定为腺嘌呤脱氧核苷酸
B.在禽流感病原体、幽门螺杆菌体内b均为4种
C.ATP脱去两个高能磷酸键,可形成b,a为核糖
D.若a为脱氧核糖,则由b构成的核酸完全水解,得到的化合物最多有8种
A.若m为T,则b的名称为胸腺嘧啶核糖核苷酸
B.若a为核糖,则m有4种,分别是A、G、C、U
C.构成人体细胞的遗传物质有2种,a有2种,m有5种
D.在HIV病毒中含有1种a,5种m
A.
C.
B.
D.
tjb@dyw.com
2023-11-20
高中生物 | 高一上 | 选择题