首页 | 客服 | 上传赚现
AI助手
德优题库AI助手

AI助手

搜题▪组卷

(1)

服务热线

400-816-0029

    自建题库,必找德优

德优题库QQ交流群

首页 > 试卷详情
德优网2022陕西省西安市高新区高新一中初中英语考试期中九年级上

2022-2023学年陕西省西安市高新一中九年级(上)期中英语试卷

试卷总分:120分    命题人:dyczyyyn    考试时长:120分钟

一、听力题(13小题共20分)
1. (本题1分) A.Rainy.
B.Cloudy.
C.Sunny.
2. (本题1分) A.Paper and glass.
B.Silver and gold.
C.Wood and glass.
3. (本题1分) A.By reading stories.
B.By reading magazines.
C.By reading newspapers.
4. (本题1分) A.Six.
B.Twelve.
C.Eighteen.
5. (本题1分) A.It's too dangerous.
B.It's breaking the rules.
C.It's not serious enough.
6. (本题1分) A.The food.
B.The moon.
C.The story.
7. (本题1分) A.In a restaurant.
B.At home.
C.In a hospital.
8. (本题1分) A.At 8:50.
B.At 9:00.
C.At 9:10.
9. (本题1分) A.Jack used to be strong.
B.Jack used to be funny.
C.Jack used to be shy.
10. (本题1分) A.She can't stay up too late.
B.She should spend more time on study.
C.She must play baseball to keep healthy.
11. (本题2分) (1)Which was invented earliest?
A.The computer.
B.The telephone.
C.The car.
(2)What does the woman think of the man?
A.Poor in history.
B.Good at science.
C.Bad in maths.
12. (本题3分) (1)What does the woman want to buy?
A.Some beef.
B.Some fruit.
C.Some tea.
(2)Where is the shop?
A.Between the post office and the restaurant.
B.Between the hospital and the hotel.
C.Between the post office and the hotel.
(3)How long does it take the woman to get to the shop on foot?
A.About 5 minutes.
B.About 10 minutes.
C.About 15 minutes.
13. (本题5分) (1)The volunteers will help the        police on the street.
(2)30 students will clean the park and pick up rubbish        .
(3)Twenty volunteers will clean all the        and read newspapers to the old there.
(4)We will tell people to         cars on both sides when crossing the street.
(5)These activities may take you a lot of        time,but they will make the world better.
二、单选题(10小题共10分)
14. (本题1分) — Look at_________ young man in the picture.Who's he?
—He's Danny,__________European artist.(  )
A.the;a
B.a;a
C.the;an
D.a;an
15. (本题1分) —I don't know if Cindy_______to my birthday party tomorrow.
— Well,if she_______come,she will tell you today.(  )
A.comes;won't B.will come;won't
C.will come;doesn't D.comes;doesn't
16. (本题1分) A number of trees______ cut down each year,and the number of wild animals _______become smaller and smaller in recent years.(  )
A.are;has
B.is;have
C.are;have
D.is;has
17. (本题1分) — Look at my shoes.They are beautiful and they were made_______the US.
—Well,I like my shoes very much because they were made_______my mother.(  )
A.from;of
B.from;by
C.in;by
D.in;of
18. (本题1分) I want to get my bicycle_______,but my brother Alan advises me_______a new one.(  )
A.repair;to buy B.repaired;buy
C.repair;buy D.repaired;to buy
19. (本题1分) _______delicious food!And I can feel the ancient culture in Xi'an in my________ life.(  )
A.How;everyday B.What;everyday
C.How;every day D.What;every day
20. (本题1分) — I wonder_______December is a good time to visit Thailand.
— I know_______it's cold here,but it's warm in Thailand.December is a good time to go there.(  )
A.that;that B.whether;whether
C.that;whether D.whether;that
21. (本题1分) Not only the students but also the teacher_______deeply moved by the movie Home Coming.We all take_______in being Chinese.(  )
A.was;pride
B.were;proud
C.was;proud
D.were;pride
22. (本题1分) Phones make it_______for us to connect with each other,but remember to use them_______.(  )
A.convenient;wise B.conveniently;wise
C.convenient;wisely D.conveniently;wisely
23. (本题1分) —Grace used to have short hair,_____ ?
—_______.But look at her long hair now.How pretty!(  )

A.did she;Yes,she did

B.didn't she;No,she didn't

C.did she;No,she didn't

D.didn't she;Yes,she did

三、完形填空(2小题共20分)
24. (本题10分) Once upon a time,there was a scientist.He wanted to study(1)       .Then in the library he(2)       two peanuts (花生) into a tall glass bottle.The bottle was completely transparent (透明的).One could see the two peanuts(3)       from outside.
   Then he gave the bottle to a monkey.The monkey held the bottle(4)       shook it for a while.He couldn't think of a way to get these peanuts out.He kept(5)       the bottle and finally,the peanuts fell out and the monkey got to eat them.
   The scientist put(6)        two peanuts into the bottle.This time,he showed the monkey that if he put the bottle upside-down,it was(7)       for him to get the peanuts.But the monkey still shook the bottle aimlessly (无目的地) after he got it,He learned(8)       from the scientist.Why?The reason is that all the monkey saw was just the peanuts.His brain could not manage anything else such as(9)        example.
   Sometimes when we meet some difficult situations,we are just like this monkey.We couldn't control our mind and try our best(10)       a way to solve the problem.We only do something aimless with the problem but get nothing at last.

(1) A.why monkeys learn B.how monkeys learn C.why do monkeys learn D.how do monkeys learn
(2) A.put B.puts C.has put D.was putting
(3) A.clear B.general C.clearly D.generally
(4) A.and B.but C.so D.or
(5) A.shake B.shook C.to shake D.shaking
(6) A.other B.others C.another D.the other
(7) A.easy B.hard C.easier D.harder
(8) A.something B.anything C.everything D.nothing
(9) A.scientist B.scientists C.scientist's D.scientists'
(10) A.find B.to find C.finding D.found
25. (本题10分) It's rare (罕见的) and lucky that the Mid-Autumn Festival fell on the same day as Teachers' Day this year.However,we(1)        celebrate the festivals at school.With the COVID-19 pandemic (疫情) in Chengdu,we were under lockdown.In the hard situation,our class(2)        to hold an online evening party,and I was one of the organizers.
   During the process,we(3)       some creative ideas for the party.One of them was to make a video of our classmates' best wishes for our(4)        .Every student took an active part in the video.In order to invite our teachers to the show,I called them one by one and sent out the invitations online.The key thing for the online event was the technical (技术的) part.(5)       ,the father of one of our classmates is good at technology.He helped provide us with a livestream (直播) room.
   We also invited our classmates to perform and show their(6)       .When the party started,we watched many students play musical instruments like the piano,erhu,pipa and so on.(7)       are a must for the Mid-Autumn Festival.Surprisingly,every family received mooncakes made in the school canteen!During the livestream show,we saw many families sit together in front of the screen(8)       they were eating the mooncakes.Everyone looked so happy!
   In the end,we(9)        all of our teachers and wished everyone a happy Mid-Autumn Festival.Although it was(10)        to hold such a big event,we enjoyed the whole process.We felt more connected with each other during the pandemic.

(1) A.shouldn't B.couldn't C.mustn't D.needn't
(2) A.decided B.refused C.continued D.regretted
(3) A.began with B.ended up with C.came up with D.dealt with
(4) A.parents B.grandparents C.teachers D.friends
(5) A.Normally B.Clearly C.Generally D.Luckily
(6) A.presents B.talents C.cards D.ideas
(7) A.Dumplings B.Cakes C.Noodles D.Mooncakes
(8) A.before B.after C.while D.until
(9) A.thanked B.interviewed C.hugged D.asked
(10) A.boring B.tiring C.touching D.interesting
四、阅读理解(4小题共15分)
26. (本题3分)
The Classic of Mountains and Seas for Children
   Language:Chinese
   Age:7-10
   This book simplifies (简化) the ancient Chinese words in The Classic of Mountains and Seas into easy words for children to understand.It is filled with stories about mythical creatures (神兽)and colorful pictures.It can help children develop their imagination and learn traditional Chinese culture.
   Buy now!It costs 159 yuan.
Misty the Cloud:A Very Stormy Day
   Language:English
   Age:3-5.
   The picture book explains the reasons for lightning (闪电) and thunder (雷) by telling stories of Misty a little cloud with big feelings!It helps children learn natural science.After reading the book,children won't fear lightning anymore.
   Buy now!Only 94 yuan!
Detective (侦探) Agency of the Black and White Bear
   Language:Chinese
   Age:6-10
   Do you like Detective Conan?If yes,this book is a good choice for you.The main character in this book is a detective bear.It combines (结合) fairy tales with reasoning.It is a fun book series with interesting pictures.It can also train children to think logically (有逻辑地).
   Buy now!It is 253 yuan.
(1)From which book can children learn about traditional Chinese culture?        
A.The Classic of Mountains and Seas for Children.
B.Misty the Cloud:A Very Stormy Day.
C.Detective Agency of the Black and White Bear.
D.Detective Conan.
(2)Children can learn        from Misty the Cloud:A Very Stormy Day.
A.who fears lightning and thunder
B.how they can tell stories about the cloud
C.why there is lightning and thunder
D.how natural science influences humans
(3)Anna wants to buy two Chinese books for her cousin and she should pay        .
A.159 yuan
B.253 yuan
C.347 yuan
D.412 yuan
27. (本题3分) When Xiong Chuanfa,a 34-year-old man,blew a lively tiger out of sugar in a few minutes,kids looked at him in surprise,thinking he was a magician.
   Xiong has blown sugar figurines (糖人) for twenty years.Every morning,Xiong prepares the sugar and drives to different markets in Nanchang to start his magic show.He heats the sugar,pulls off a little to make a ball and blows it into different shapes - - a rabbit,a monkey,and even Bing Dwen Dwen,the mascot of the Beijing 2022 Winter Olympics.
   People,especially little kids,are interested in his skills.To draw young people closer to the art,he also stops in the universities.Many college students have been interested in the art,waiting in line for trying to do this by themselves.Among them,Simon,a foreign student,couldn't help having a try.He found it difficult to make it,Thanks to Xiong's help,Simon finally saw a horse slowly taking shape.
   Simon was deeply moved after learning about the art."I can't believe the traditional folk art can be kept so well here.I love it.Chinese culture should be brought to more places in the world."
   This art has been passed down for four generations (代) in Xiong's family.His 6-year-old son often blows sugar balloons,just like what he used to do as a child."We will keep the skill and pass on the intangible cultural heritage (非物质文化遗产),"says Xiong.

(1)From the passage we know that Xiong Chuanfa        .
A.is a foreign magician
B.blows sugar into different balls
C.has blown sugar figurines since he was fourteen
D.works in a college to teach students Chinese .traditional culture
(2)According to Simon's words,we can infer that he will most probably        .
A.give up learning in China
B.offer Xiong a helping hand in class
C.learn more about Chinese culture
D.stop blowing sugar figurines
(3)How does Xiong Chuanfa keep the skill of blowing sugar figurines and pass it on?        
A.By learning the art in a university.
B.By giving sugar figurines to young people.
C.By helping foreigners try this skill.
D.By teaching his kid the skill at a young age.
28. (本题4分) ①It's hard to turn down bananas.They are delicious and you don't have to wash them before eating them.However,British scientists say that the fruit may disappear by 2050.
   ②One reason for this is climate change.Scientists at the University of Exeter collected information from 27 countries.They found that climate change has improved growing conditions in 21 of these countries.In the past 60 years,the average yield (平均产量) has reached 1.37 tons of bananas per hectare(每公顷).
   ③However,if temperatures keep rising,this advantage (优势) will disappear.Ten of the countries,including India,the world's biggest producer of bananas,will produce fewer bananas.By 2050,the fruit may die out.Shouldn't bananas grow more easily if it's hotter outside?In fact,the perfect temperature for growing bananas is between 24℃ and 32℃.If the temperature gets too high,they will stop growing.
   ④Diseases are also a danger to bananas.Unlike other plants,the bananas we grow come from shoot cuttings (茎段) rather than seeds.This means that all banana plants have the same genotype (基因型).In other words,if a disease is able to kill one plant,it could kill them all.
   ⑤One serious disease is called Panama.It is caused by fungus (真菌) in the soil.If the disease Panama is found in a banana plantation,people can't grow bananas in it for 30 years.Scientists haven't found a way to deal with this disease.

(1)What might happen if the temperature keeps going higher?        
A.More countries will start to grow bananas.
B.Bananas will not be able to grow any more.
C.Bananas will grow better in most countries.
D.Bananas won't be as delicious as before.
(2)What does the underlined word "plantation" mean in Chinese?        
A.树干
B.根茎
C.幼苗
D.种植园
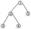
(3)Which of the following best shows the structure of the passage?        
A. 德优题库
B. 德优题库
C. 德优题库
D. 德优题库
(4)The passage mainly talks about        .
A.the difficulties of growing bananas
B.the perfect condition of growing bananas
C.the reasons for the disappearance of bananas
D.the advice on growing bananas
29. (本题5分) American and British people both speak English.But sometimes there are some important differences between British English and American English.
   (1)       .Americans don't often say each word separately (分开地).They say words together.Americans may say"I dunno"instead of"I don't know".However,the British are more careful.They usually say all the words and keep them separate.
   Sound is not the only difference.Words sometimes have different spellings,too. (2)       .For example,the word "favourite" is often used by British people while"favorite" is often used in American English.
   (3)       .In England,if you are going to call your friends,you"phone them up".In America,you"give them a call".
   There are also some differences in grammar.For example,Americans usually use the helping verb"do" when they ask a question. (4)       .But the British often say it in a quite different way.They say"Have you got a pen?.
   Most languages are like this.Languages change over time.When people live in different places,the languages change in different ways.This is what has happened to English. (5)       .Many people in Canada speak French but their French is very different from the French of France.

A.English is popular in China
B It can also happen to other languages like French
C.Letter"Q" is often left out in some words in American English
D.They say "Do you have a pen?"
E.English in these two countries is different only in sound
F.First of all,they sound very different
G.Many expressions are also different in the two countries
五、完成句子(5小题共10分)
30. (本题2分) 我们有各种颜色的气球,而且价格合理。
We have        in all colors and they are at a good price.
31. (本题2分) 毋庸置疑,母爱是世界上最伟大的爱。
       ,mom's love is the greatest love in the world.
32. (本题2分) 在谈话中使用"请"和"谢谢"这样的词语是非常有礼貌的。
It's quite        to use the words such as"please"and"thanks" in a conversation.
33. (本题2分) 在过去的两年里,西安建立了许多优秀的公立学校。
In the past two years,many excellent        have been built in Xi'an.
34. (本题2分) 他救人的消息在人群中广泛地传播开来。
The news that he saved people was        among the crowd.
六、短文填空(2小题共20分)
35. (本题10分)
know,usual,excite,leaf,die,he,taste,boil,eat,thousand
The Dragon Boat Festival,also called the Duanwu Festival,is one of the most important festivals in China.It is a day to memorize Qu Yuan,who threw(1)        into the Miluo River and lost his life.He has been (2)        for over 2,000 years.It's said that in order to save Qu Yuan,people beat drums to drive fish away,and threw zongzi into the river,hoping that the fish(3)        the rice instead of Qu Yuan's body.
   For(4)        of years,people have spent the festival by having zongzi on the fifth day of the fifth lunar (阴历的)month.On that day,people make zongzi,which is(5)        made of rice.In southern part of China,zongzi is made of meat.Materials such as beans,pork and salted duck eggs are often added to the rice.It is wrapped with reed(芦苇) (6)        .After that,it is (7)        in salt water for hours.Zongzi (8)       delicious.We can also eat eggs together with zongzi.
   Of course,the festival is also (9)        for its dragon boat races,especially in the southern provinces where there are many rivers and lakes.The activity is (10)       .Many people like watching it.
36. (本题10分) "World record broken!" On the (1)        (twelve) day of August,17-year-old Ma Jiajun from Jilin excitedly posted this on social media,with a picture of him holding the certificate (证书) from Guinness World Records.
    He has set a new world record for"the most consecutive jump nope triples (连续三摇跳绳)"with 701 times.The last world record was 423 and it was(2)       (create) 35 years ago.You know what?A Japanese person made it.
    Ma waort and thin in the past. (3)        (build) a stronger body,he took part in the school's jump rope team.At 9,he competed in a(4)        (nation) game and surprisingly broke a record.His coach said he was talented(5)       the sport and suggested that he should fight for it.So he joined a jump rope club and trained for six years.The training was really hard.He needed to practice every day for at (6)       (little) four to five hours.Every night when he (7)        (lie) on his bed,his abs (腹肌) and back were in pain.
    After breaking the record,Ma caught lots of (8)        (people) eyes."I hope more people could enjoy jump rope, (9)       it is very good for our health and full of fun," Ma said.Now he is (10)       (prepare) for next year's gaokao.His next goal is Beijing Sport University.
七、任务型阅读(1小题共10分)
37. (本题10分) Sun Jiarui,a 10-year-old girl from Wuxi,Jiangsu Province,recently becomes famous online for her cooking skills.Sun has learnt to cook from her father for two years and now she can cook more than 50 dishes.Can you cook?If so,what dishes are you good at?
    For middle and primary school students,being able to cook will become a must.A new curriculum standard (课程标准) for labor (劳动) education recently came out.Starting from 2022 fall term,students are required to take courses on labor skills.The standard includes different labor tasks.The first is daily housework,including cleaning,organizing,cooking,and repairing home appliances.The next is productive labor (生产劳动),such as doing farm work,making traditional handicraft (手工艺品),and using new technologies like 3 D printing.One more type is community work.
    Labor education aims to develop students' basic life skills and good working habits.School education didn't value (重视) it in the past.According to a report in 2019,it takes Chinese kids only 12 minutes a day to do housework,compared to 72 minutes for American students each day and 30 minutes for French students.
    Liu Fang,a mother of 6-year-old twins in Beijing,is a strong supporter of labor education:In the past year,she has trained her daughters to do household chores and make simple dishes for the family."By doing housework,their hand-eye coordination (协调),time management and organization skills can be trained and it's also good to help them relax",said Liu.Through such education,her daughters have found fun in doing chores and are more independent.

(1)How many dishes can Sun Jiarui cook now?
She can cook        .
(2)What kinds of labor tasks are included in the standard?
Daily housework,        and community work are included.
(3)What does the underlined word"it"in Paragraph 3 refer to?
It refers to        .
(4)According to the report in 2019,in which country do children do housework longest a day?
The children        do housework longest a day.
(5)What does Liu Fang think of labor education?
She thinks it is        .
八、补全对话(1小题共5分)
38. (本题5分) A:Hi,Li Ming.You look sad. (1)       
B:I failed in the English exam again.My parents are very mad at me.
A:Really?What do you think is difficult in your English learning?
B: (2)       .I feel people speak too fast.I can't understand what they say.
A:Don't worry. (3)       
B:Well,that's a good idea to study by listening to some English stories.
A:And it will be interesting,too.
B: (4)       
A:You can also ask your teacher for help.
B: (5)       .I'll try my best.
九、书面表达(1小题共10分)
39. (本题10分) 假如你叫李明,到了九年级以后,你的生活比以前更加充实了。请根据表格中所给的要点,写一篇文章介绍你的变化。
要求:
(1)结合表格中的信息,适当可以扩充;
(2)中心突出;语意连贯;层次清晰;书写规范;
(3)不少于80词。 (首句已给出,但不计入总词数)
过去 现在
早上 7:30起床 7:00起床
晚上 看电视,9:30 睡觉 做作业,看书,10:30 睡觉
课外时间 打游戏,和朋友外出闲逛 锻炼,备考
I'm Li Ming.My life is different from what it used to be.______________________
转载声明:
本题解析属于发布者收集录入,如涉及版权请向平台申诉! !版权申诉
温馨提示
对不起!这是别人共享的试卷,需要下载到自主题库后,可将该试卷添加到白板
试题下载
试题内容
调用试题名称
共享人
唐老师
试题题型
解答题
试题难度
试题题源
2020*西工大*期末
下载次数
168次
下载金币
5德优币(当前结余18德优币)
温馨提示
该试题下载至自主题库后,下载、备课永久免费!
相似题
试卷设置
试卷名称
省市校区
阶段科目
年份卷型
选择类型
已选考点
在线训练
可见权限
会员看题 会员看题和答案
试卷下载
试卷名称
调用试卷名称
共享人
唐老师
试卷卷型
1111
试卷难度
试卷来源
2020*西工大*期末
下载次数
168次
下载金币
5德优币(当前结余18德优币)
温馨提示
该试卷下载至自主题库后,下载、备课永久免费!
组卷付费
试卷名称
调用试卷名称
试卷来源
唐老师
试卷形式
全选 卷主 序号 卷型 难度 年份 省市区 题源 金币 操作
8 选择题 2018年 陕西 真题 2币 查看
8 选择题 2018年 陕西 真题 2币 查看
8 选择题 2018年 陕西 真题 2币 查看
8 选择题 2018年 陕西 真题 2币 查看
8 选择题 2018年 陕西 真题 2币 查看
8 选择题 2018年 陕西 真题 2币 查看
下载金币
5德优币(当前结余18德优币)
温馨提示
该试卷下载至自主题库后,下载、备课永久免费!
试题找茬
纠错类型
纠错描述
温馨提示
共享试题、试卷经平台审核通过后方可展示,并永久享用用户下载分红权!
平行组卷明细
2022-2023学年陕西省西安市高新一中九年级(上)期中英语试卷的细目表
  • 题号
  • 考点
  • 操作
  • 1
  • 听录音选单词/短语,
  • 查看
  • 2
  • 听录音选单词/短语,
  • 查看
  • 3
  • 听录音选单词/短语,
  • 查看
  • 4
  • 听录音选单词/短语,
  • 查看
  • 5
  • 听录音选句子,
  • 查看
  • 6
  • 听录音选单词/短语,
  • 查看
  • 7
  • 听录音选单词/短语,
  • 查看
  • 8
  • 听录音选单词/短语,
  • 查看
  • 9
  • 听录音选句子,
  • 查看
  • 10
  • 听录音选句子,
  • 查看
  • 11
  • 听短文,
  • 查看
  • 12
  • 听短文,
  • 查看
  • 13
  • 听短文,
  • 查看
  • 14
  • 定冠词(the),不定冠词(a,an),
  • 查看
  • 15
  • 一般现在时,一般将来时,
  • 查看
  • 16
  • 语法一致,
  • 查看
  • 17
  • 方位/动向介词,表示工具、材料、手段的介词,
  • 查看
  • 18
  • 动词不定式的一般式,过去分词,
  • 查看
  • 19
  • 形容词词义辨析,what引导的感叹句,
  • 查看
  • 20
  • whether/if引导宾语从句,
  • 查看
  • 21
  • 名词词义辨析,就近、就远原则,
  • 查看
  • 22
  • 形容词词义辨析,副词词义辨析,
  • 查看
  • 23
  • 反意疑问句,
  • 查看
  • 24
  • 方法与哲理,记叙文,
  • 查看
  • 25
  • 节假日活动,说明文,
  • 查看
  • 26
  • 文化,购物,应用文,
  • 查看
  • 27
  • 文化,说明文,
  • 查看
  • 28
  • 动物/植物,说明文,
  • 查看
  • 29
  • 文化,说明文,
  • 查看
  • 30
  • 可数名词及其单复数,
  • 查看
  • 31
  • 固定搭配/句型,
  • 查看
  • 32
  • 形容词作表语,
  • 查看
  • 33
  • 名词短语,
  • 查看
  • 34
  • 副词修饰动词,过去分词,
  • 查看
  • 35
  • 传统文化,说明文,
  • 查看
  • 36
  • 杰出人物,记叙文,
  • 查看
  • 37
  • 教育,说明文,
  • 查看
  • 38
  • 劝告/建议,
  • 查看
  • 39
  • 时代变迁,说明文,
  • 查看
细目重组明细
2022-2023学年陕西省西安市高新一中九年级(上)期中英语试卷的细目表
  • 题号
  • 考点
  • 选题
  • 1
  • 听录音选单词/短语,
  • 查看
  • 2
  • 听录音选单词/短语,
  • 查看
  • 3
  • 听录音选单词/短语,
  • 查看
  • 4
  • 听录音选单词/短语,
  • 查看
  • 5
  • 听录音选句子,
  • 查看
  • 6
  • 听录音选单词/短语,
  • 查看
  • 7
  • 听录音选单词/短语,
  • 查看
  • 8
  • 听录音选单词/短语,
  • 查看
  • 9
  • 听录音选句子,
  • 查看
  • 10
  • 听录音选句子,
  • 查看
  • 11
  • 听短文,
  • 查看
  • 12
  • 听短文,
  • 查看
  • 13
  • 听短文,
  • 查看
  • 14
  • 定冠词(the),不定冠词(a,an),
  • 查看
  • 15
  • 一般现在时,一般将来时,
  • 查看
  • 16
  • 语法一致,
  • 查看
  • 17
  • 方位/动向介词,表示工具、材料、手段的介词,
  • 查看
  • 18
  • 动词不定式的一般式,过去分词,
  • 查看
  • 19
  • 形容词词义辨析,what引导的感叹句,
  • 查看
  • 20
  • whether/if引导宾语从句,
  • 查看
  • 21
  • 名词词义辨析,就近、就远原则,
  • 查看
  • 22
  • 形容词词义辨析,副词词义辨析,
  • 查看
  • 23
  • 反意疑问句,
  • 查看
  • 24
  • 方法与哲理,记叙文,
  • 查看
  • 25
  • 节假日活动,说明文,
  • 查看
  • 26
  • 文化,购物,应用文,
  • 查看
  • 27
  • 文化,说明文,
  • 查看
  • 28
  • 动物/植物,说明文,
  • 查看
  • 29
  • 文化,说明文,
  • 查看
  • 30
  • 可数名词及其单复数,
  • 查看
  • 31
  • 固定搭配/句型,
  • 查看
  • 32
  • 形容词作表语,
  • 查看
  • 33
  • 名词短语,
  • 查看
  • 34
  • 副词修饰动词,过去分词,
  • 查看
  • 35
  • 传统文化,说明文,
  • 查看
  • 36
  • 杰出人物,记叙文,
  • 查看
  • 37
  • 教育,说明文,
  • 查看
  • 38
  • 劝告/建议,
  • 查看
  • 39
  • 时代变迁,说明文,
  • 查看
视频讲解
温馨提示
视频讲解正在加载中、请等待!
视频解析购买
支付方式
德优币数
本次消耗0德优币
温馨提示

客服电话:400-816-0029,服务邮箱:610066832@qq.com

视频资源

选择考点
存放类型
已选考点

平行组卷卷生成中,请等待

组卷异常提醒
温馨提示
试题篮存在未完成组卷,请前往组卷页面-组卷管理,点击“完成组卷”后,方可修改或添加试卷!