首页 | 客服 | 上传赚现
AI助手
德优题库AI助手

AI助手

搜题▪组卷

(1)

服务热线

400-816-0029

    自建题库,必找德优

德优题库QQ交流群

首页 > 试卷详情
德优网2020陕西省西安市师大附中初中英语考试月考八年级上

2020-2021学年陕西师大附中八年级(上)第二次月考英语试卷

试卷总分:110分    命题人:dyczyyyn    考试时长:120分钟

一、单选题(20小题共20分)
1. (本题1分) ---Let me buy you _____ sandwich. Which one do you like?
---I like _____ one with lettuce and turkey.(  )
A.a, the
B.an, the
C.a, a
D.a, /
2. (本题1分) ---Did you see the new movie,Joe?
---Of course.I_________it with my brother this morning.(  )
A.watch B.am watching
C.watched D.will watch
3. (本题1分) ---What's his plan for the new term?
---He_______a foreign language.(  )
A.learn B.is going to learn
C.is learning D.learned
4. (本题1分) At the_______of this year,she promised_______the violin.(  )
A.begin;playing B.beginning;playing
C.begin;to play D.beginning;to play
5. (本题1分) There_______a sports meeting in our school next week.(  )
A.is B.was
C.is going to have D.is going to be
6. (本题1分) It's a good idea to send the old books_______the children who need them.(  )
A.for
B.of
C.to
D.by
7. (本题1分) ---_______will the invitations be sent to our guests?
---In three days.(  )
A.How soon
B.How often
C.How long
D.How old
8. (本题1分) To keep healthy,you should eat_______junk food and_______vegetables.(  )
A.more;fewer
B.less;fewer
C.fewer;more
D.less;more
9. (本题1分) ---Children often feel better in a harmonious(和谐的) family.
---That's right.A warm family offers a loving_______to its kids.(  )
A.relationship B.environment
C.prediction D.improvement
10. (本题1分) ---Nothing can live_______air and water.
---I agree_______you.(  )
A.with;with B.without;with
C.with;to D.without;to
11. (本题1分) ---Listen!There_______someone_______at the door.
---It must be your brother.(  )
A.is;knocking B.is;to knock
C.are;knocking D.are;to knock
12. (本题1分) The 5 G technology can make doctors help people who are_______kilometers away.(  )
A.hundred B.hundreds
C.six hundreds D.hundreds of
13. (本题1分) Please fill the cup_______some tea and give it to me.(  )
A.of
B.with
C.for
D.from
14. (本题1分) ---What else do we need to make cold beef?
---_______.(  )
A.Two spoon salt B.Two spoons salt
C.Two spoons of salt D.Two salts
15. (本题1分) I still have_______questions to ask today.(  )
A.more three B.three more
C.three another D.other three
16. (本题1分) -Tom,_________ the umbrella with you.Look at the clouds,it's going to rain!
-All right,Mum!(  )
A.taking
B.takes
C.take
D.to take
17. (本题1分) You should study English as______as possible______yourself a better person.(  )
A.hardly;make B.hardly;to make
C.hard;make D.hard;to make
18. (本题1分) The room was very dark so he______the light after he came in.(  )
A.turned on B.turned up
C.turned down D.turned off
19. (本题1分) On Thanksgiving,we should think about the people who helped us and give our thanks______them______their help.(  )
A.to;for
B.for;to
C.with;by
D.to;with
20. (本题1分) ---I think there will be more haze(霾)in our city.
---______.People are trying their best to improve the environment.(  )
A.Sounds good B.I don't think so
C.I believe so D.Congratulations
二、完形填空(2小题共20分)
21. (本题10分) What do you want to be when you grow up?Teenagers used to want to be a teacher,doctor or lawyer.But now teenagers have some different(1)        .They can do some new jobs.
   According to the(2)        of a survey by a Chinese website.some new jobs like the early childhood educator and the makeup artist are very popular(3)        big Chinese cities.These new special jobs(4)        well.For example,one in three workers can have more than 8,000 yuan a month.Some of the top-paying jobs like animal doctors can(5)        make over 20,000 yuan every month.
   In fact,these workers usually(6)        a good education.Linda is a good example.She studied law in college but she chose to be an animal doctor after graduation.She is very(7)        with what she is doing now because she has been interested in(8)        animals when she was young.She said not everyone knows what they would like to be(9)        they were young.But if a person can keep(10)        new things,he will know what he loves.

(1) A.reasons B.choices C.parts D.skills
(2) A.result B.example C.idea D.advice
(3) A.with B.among C.in D.to
(4) A.pay B.take C.spend D.cost
(5) A.hardly B.even C.never D.only
(6) A.borrow B.lend C.get D.lose
(7) A.angry B.happy C.proud D.bored
(8) A.looking at B.looking for C.looking after D.looking up
(9) A.though B.until C.when D.Because
(10) A.to try B.trying C.tried D.tries
22. (本题10分) What will life be like in the future?I think it will be very different,but very interesting.In the future,all the electrical appliances(电器)will be able to(1)        to us.Toasters will tell people the bread is OK.Gas stoves will tell us to turn off the gas after finishing cooking meals.Fridges will tell people to buy some food or drinks when there is(2)        in it.There will be many different(3)        of robots.House robots will help people with the(4)       .They will cook the meal,(5)       the house and wash the clothes.Worker robots will do all the(6)       and difficult jobs Then people won't feel(7)       any more and they will have more free time,(8)        they will travel more They won't travel(9)       car or train.They will take their planes to travel everywhere,even into a space station.I am(10)        space travels will be very popular in the future.

(1) A.listen B.talk C.write D.rise
(2) A.nobody B.everything C.nothing D.everybody
(3) A.kinds B.color C.names D.numbers
(4) A.homework B.housework C.sports D.traffic
(5) A.check B.open C.leave D.clean
(6) A.heavy B.light C.strange D.easy
(7) A.afraid B.lucky C.happy D.tired
(8) A.because B.so C.but D.or
(9) A.at B.for C.to D.by
(10) A.full B.serious C.sure D.lucky
三、阅读理解(4小题共25分)
23. (本题6分) In a small town in Europe,there is a tradition:after a person dies,his or her family will write an obituary(讣告) on he local newspaper.They need to pay l euro(欧元)for each word in the obituary.
   Mr.Peter Monaghan was a kind and gentle man.Many people in the town liked him.He and his wife had two houses.At the time,they needed money to decorate(装修)their bedrooms and living room of one house.So they were planning to sell the other house.
   But Peter was in poor health and passed away.Mrs.Monaghan was very sad.A week later,she went to the newsroom to pay for Peter's obituary.
   The newsman told her that it was I euro for each word and he remembered Peter.He also said that he was sorry to hear about Peter's death.
   Mrs.Monaghan thanked him for his kind words and said she only wanted to spend 2 euros on the obituary:" Peter died." The newsman said he thought old Peter deserved(值得)more words for his obituary.He told Mrs.Monaghan that he would give her three more words for free.
   Mrs.Monaghan thanked him and rewrote the obituary:" Peter died.House for sale."

(1)Which of the following is TRUE according to the text?        
A.Peter and his wife lived in a small town in Europe.
B.The Monaghans wanted to decorate their kitchen.
C.Mrs.Monaghan paid the obituary two weeks later.
D.Peter died after they sold one of their two houses.
(2)From the text we can guess that        .
A.The newsman didn't know Mr.Monaghan
B.Mrs.Monaghan paid more money for the obituary
C.Mr.Monaghan was popular in his small town
D.Mrs.Monaghan didn't want to sell one of the two houses after Peter died
(3)What was Mrs.Monaghan like?        
A.Stingy(吝啬的).
B.Humorous.
C.Helpful.
D.Gentle
24. (本题6分) Bird-watching is a fun hobby.Many people enjoy it every day.You can also enjoy it.Bird-watching does not have to take a lot of time or money.With materials around your house,you can build a good birdhouse.You can start bird-watching in 30 minutes in your own house.It's very easy!
   Materials you will need:
A milk box Glue Scissors Brown paint Tools for painting
To build a better birdhouse
1)Clean and dry the milk box.
2)Glue the top of the milk box and make it closed.
3)Cut holes in the milk box for the birds to get into the birdhouse.The size you use will decide which birds can use the house.You can cut one hole on each side.A good place to cut is about four centimeters from the bottom.
4)Paint your milk box brown.The brown color helps the birdhouse mix with the tree.
5)Cut some holes on the bottom of the box to let out dirty things.Add at least two small holes on the top of the box to let in fresh air for your birds.Do this after painting.
6)Put the box in a tree.You can see the birdhouse from a window of your house.Now you can watch your birds in any weather!

(1)Why do people paint the birdhouse brown?        
A.To make the birdhouse look stronger.
B.To make the birdhouse more beautiful.
C.To make the birdhouse look larger.
D.To make the birdhouse look more natural
(2)People make small holes on the top of the birdhouse to        .
A.let in fresh air
B.let out dirty things
C.let in small birds
D.let people watch birds through them
(3)What is the passage mainly about?        
A.A better place to watch birds.
B.How to go bird-watching.
C.How to build a birdhouse.
D.Different kinds of birds.
25. (本题8分) Cold weather has a great effect on how our minds and our bodies work.Maybe that is why there are so many expressions that use the word "cold".For example,the body's blood has been connected(联系)closely with the emotions.People who show no human emotions or feelings are said to be cold-blooded.Cold-blooded people act in cruel(残忍的)ways.
   Cold can affect other parts of the body.But the expression "get cold feet" has nothing to do with cold or your feet.The expression means being afraid to do something you have decided to do.For example,you agree to be the CEO of a company.But then you learn that all the other officers have resigned(辞职),and all the work of the company will be your responsibility(责任).You probably get cold feet about being the CEO when you understand the situation(情形).
   Cold can also affect your shoulder.The expression "give someone the cold shoulder" probably comes from the physical act of turning your back toward someone,instead of speaking to him face to face.You may give the cold shoulder to a friend who doesn't keep his promise,or to someone who lies to you.
   "A cold fish" is not a fish.It is a person.But it is a person who is unfriendly and shows no love to others.A cold fish doesn't offer help to anyone.Someone who is a cold fish could be cold-hearted and will never feel sorry for anything.
   "Out in the cold" is an expression that means not getting something that everyone else gets.A person might say that everybody but him got a gift--he was left out in the cold.And it is not pleasant at all!

(1)If you get cold feet,this means that        .
A.you feel brave to do something
B.you feel too nervous to do something
C.you feel too cold to do something
D.you feel angry about something
(2)Which of the following expressions can describe a person who is unwilling to offer much help?        
A.Cold-blooded.
B.Get cold feet.
C.A cold shoulder.
D.A cold fish.
(3)What's the passage mainly about?        
A.Opinions about cold weather.
B.Expressions connected with "cold"
C.The relationship between "cold" and "body"
D.Examples of people who have a cold.
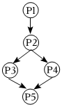
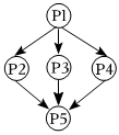
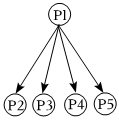
(4)Which of the following show the structure of the article?        
A.德优题库
B.德优题库
C.德优题库
D.德优题库
26. (本题5分) Many people believe that,by the year 2100,we will live on Mars.Here is what life could be like,First,transportation should be much better.In 2100,spaceships can travel very fast.(1)       
   Second,humans need food,water and air to live.Scientistould be able to find plants that can grow on Mars.These plants will give us food and air.
   (2)       We might easily jump too high and fly slowly away into space.So humans on Mars have to wear special shoes to make themselves heavier.
   Life on Mars will be better in many ways.(3)       It is possible to live in a large building with many bedrooms.Then,robots will do most of the work,so we have more time for hobbies.
   (4)       Every student can study,do his or her homework on the computer and take exams in online schools.Each student will also have his or her own online teacher called "e-teacher".
   However,in some ways,life on Mars may not be better than that on the earth today.(5)       Meals will probably be in the shape of pills and will not be as delicious as they are today.Also,space travel will make many people feel ill.

A.There will probably be no school on Mars.
B.It might take us two or three days to get to Mars.
C.People will have no place to live.
D.Food will not be the same.
E.First,people will have more space.
F.There is a problem for us to live on Mars.
G.There are no difficulties on Mars
四、完成句子(10小题共10分)
27. (本题1分) 剥三根香蕉,然后把它们切碎。
Peal three bananas and        .
28. (本题1分) 露西,别忘了给你的妈妈打电话。
Lucy,       call your mother.
29. (本题1分) 我们通常以派对的形式庆祝他的生日。
We usually        with a party.
30. (本题1分) 听到这些话,她的眼里充满了泪水。
Hearing this,her eyes are        tears.
31. (本题1分) 地震之后,许多建筑物都倒塌了。
After the earthquake,many buildings        .
32. (本题1分) 人们把鸽子看作和平的象征。
People see doves as        .
33. (本题1分) 她打开书包拿出一本字典。
She opened her schoolbag and        a dictionary.
34. (本题1分) 我同学中有些人打算学医。
Some of my classmates plan to study        .
35. (本题1分) 凯特长大之后想要成为一名报社记者。
Kate        a newspaper reporter when she grows up.
36. (本题1分) 问别人个人问题是不礼貌的。
I's not polite to ask others        .
五、短文填空(1小题共10分)
37. (本题10分) danger,science,they,try,difficulty,be,know,bore,have,walk

   Everyone(1)       that robots are very smart because robots have their own computer brains.There are many different kinds of robots in the world.They can help people work in (2)        places or do many difficult jobs.Some of them have been into space,into the seas and so on.They never get(3)        or afraid.
   It's not(4)        to imagine(想象)a future with robots.In the future,there will(5)        robots in many places and many of them can talk,(6)       and dance like people.Even some people want to have robot scientists.
   But it must be very hard for scientists to make robots(7)       feelings.A(8)       called Steels says,"Now,there are some robots like actors.They may show feelings but they don't feel (9)        .We will(10)        our best to change that."
六、任务型阅读(1小题共10分)
38. (本题10分) The Human body has its limits(极限).There are many things that our bodies cannot do.Some people test these limits.They surprise us.The BBC Focus magazine has reported some limits of human body.Let's read them.
    How long can you hold your breath(呼吸)underwater?
    Practicing holding your breath underwater is dangerous sometimes.If water goes into your lungs(肺),you may die.With a little training,a person can hold his breath for two or three minutes.This is already quite good.Alex Segura Vendrel is a diver(潜水员) from Spain.He can hold his breath for about 24 minutes.This is the world record for breath-holding,the Daily Mail reported.
    How much can a human lift?
    Usually,a healthy person can lift 50 to 60 kilograms.This is a safe life.Lifting heavy things can do harm(伤害)to our muscles(肌肉).But athletes can if a lot.Andy Bolton is a British weightlifter.He lifted 457.5 kilograms from the floor to his thigh.That's the most that any human can lift,according to New Scientist.
    How long can we stay awake?
    What happens when people don't get enough sleep?They become grumpy (脾气暴躁的).Sometimes,they even can think very clearly.According to the HuffPost,Randy Gardner from the United States holds the record for the longest time to stay awake.He didn't sleep for 264 hours.

(1)What is the world record for breath-holding underwater?
Alex can hold his breath        .
(2)What may happen if you lift too heavy things?
Lifting heavy things can        .
(3)How much can a man lift the most according to New Scientist?
A man can lift        kilograms.
(4)How many days did Gardner keep awake?
He can stay awake for        .
(5)What is the passage mainly about?
Ir's about        .
七、补全对话(1小题共5分)
39. (本题5分) A:Hello!May I speak to Mary?
B:Yes.(1)       .
A:Hi,Mary,it's Sally here.I sent you several WeChat messages on Saturday afternoon,but you didn't reply.(2)       
B:Oh,I went to take violin lessons as usual.
A:(3)       
B:Twice a week.
A:I know you are talented in music.I think you will be a violinist when you grow up.
B:I hope so.(4)       
A:I want to be a scientist.I'll try my best to make some robots to help humans in great danger .
B:Sounds great.Tomorrow I'll have my birthday party at home.(5)       
A:Sure,I'd love to.See you later.
B:See you.
八、书面表达(1小题共10分)
40. (本题10分) 假如21 Century中学生英文版正在征稿,主题为"My Life in 15 Years"。请根据下列提示写一篇短文并投稿。
提示:
1)梦想成为作家,写有趣的故事;
2)将在上海工作,会见到很多有趣的人,学到新的东西;
3)打算养宠物,学会照顾小动物;
4)打算学习烹饪,传统节日或周末可以给家人或朋友制作美食;
5)自拟一条。
要求:
1)语句通顺,语法正确,不得出现真实的姓名;
2)70词左右。
                                                       My Life in 15 Years
转载声明:
本题解析属于发布者收集录入,如涉及版权请向平台申诉! !版权申诉

wwe@dyw.com

2020-12-16

初中英语 | 考试 | 难度:1.3

  • 下载量
  • 浏览量
  • 收益额
  • 0
  • 12
  • 0
下载试卷 收藏
平行组卷 细目重组
试卷分析 加入白板
加卷篮 更多功能
温馨提示
对不起!这是别人共享的试卷,需要下载到自主题库后,可将该试卷添加到白板
试题下载
试题内容
调用试题名称
共享人
唐老师
试题题型
解答题
试题难度
试题题源
2020*西工大*期末
下载次数
168次
下载金币
5德优币(当前结余18德优币)
温馨提示
该试题下载至自主题库后,下载、备课永久免费!
相似题
试卷设置
试卷名称
省市校区
阶段科目
年份卷型
选择类型
已选考点
在线训练
可见权限
会员看题 会员看题和答案
试卷下载
试卷名称
调用试卷名称
共享人
唐老师
试卷卷型
1111
试卷难度
试卷来源
2020*西工大*期末
下载次数
168次
下载金币
5德优币(当前结余18德优币)
温馨提示
该试卷下载至自主题库后,下载、备课永久免费!
组卷付费
试卷名称
调用试卷名称
试卷来源
唐老师
试卷形式
全选 卷主 序号 卷型 难度 年份 省市区 题源 金币 操作
8 选择题 2018年 陕西 真题 2币 查看
8 选择题 2018年 陕西 真题 2币 查看
8 选择题 2018年 陕西 真题 2币 查看
8 选择题 2018年 陕西 真题 2币 查看
8 选择题 2018年 陕西 真题 2币 查看
8 选择题 2018年 陕西 真题 2币 查看
下载金币
5德优币(当前结余18德优币)
温馨提示
该试卷下载至自主题库后,下载、备课永久免费!
试题找茬
纠错类型
纠错描述
温馨提示
共享试题、试卷经平台审核通过后方可展示,并永久享用用户下载分红权!
平行组卷明细
2020-2021学年陕西师大附中八年级(上)第二次月考英语试卷的细目表
  • 题号
  • 考点
  • 操作
  • 1
  • 定冠词(the),不定冠词(a,an),
  • 查看
  • 2
  • 一般过去时,
  • 查看
  • 3
  • 一般将来时,
  • 查看
  • 4
  • 动名词,
  • 查看
  • 5
  • 一般将来时,there be句型,
  • 查看
  • 6
  • 其他介词,
  • 查看
  • 7
  • 特殊疑问句,
  • 查看
  • 8
  • 形容词词义辨析,形容词的比较级,
  • 查看
  • 9
  • 名词词义辨析,
  • 查看
  • 10
  • with复合结构,
  • 查看
  • 11
  • 现在分词,there be句型,
  • 查看
  • 12
  • 数词的特殊用法,
  • 查看
  • 13
  • with复合结构,
  • 查看
  • 14
  • 询问,
  • 查看
  • 15
  • 形容词短语,
  • 查看
  • 16
  • 祈使句,
  • 查看
  • 17
  • 副词词义辨析,动词不定式,
  • 查看
  • 18
  • 动词短语,
  • 查看
  • 19
  • 其他介词,
  • 查看
  • 20
  • 询问,
  • 查看
  • 21
  • 说明文,
  • 查看
  • 22
  • 说明文,
  • 查看
  • 23
  • 杰出人物,细节理解,
  • 查看
  • 24
  • 日常生活,细节理解,主旨大意,
  • 查看
  • 25
  • 文化,细节理解,主旨大意,
  • 查看
  • 26
  • 人与社会,
  • 查看
  • 27
  • 简单句,
  • 查看
  • 28
  • 祈使句,
  • 查看
  • 29
  • 简单句,
  • 查看
  • 30
  • 简单句,
  • 查看
  • 31
  • 简单句,
  • 查看
  • 32
  • 简单句,
  • 查看
  • 33
  • 简单句,
  • 查看
  • 34
  • 简单句,
  • 查看
  • 35
  • 简单句,
  • 查看
  • 36
  • 简单句,
  • 查看
  • 37
  • 人与社会,
  • 查看
  • 38
  • 人与社会,细节理解,
  • 查看
  • 39
  • 争辩,
  • 查看
  • 40
  • 日常生活,
  • 查看
细目重组明细
2020-2021学年陕西师大附中八年级(上)第二次月考英语试卷的细目表
  • 题号
  • 考点
  • 选题
  • 1
  • 定冠词(the),不定冠词(a,an),
  • 查看
  • 2
  • 一般过去时,
  • 查看
  • 3
  • 一般将来时,
  • 查看
  • 4
  • 动名词,
  • 查看
  • 5
  • 一般将来时,there be句型,
  • 查看
  • 6
  • 其他介词,
  • 查看
  • 7
  • 特殊疑问句,
  • 查看
  • 8
  • 形容词词义辨析,形容词的比较级,
  • 查看
  • 9
  • 名词词义辨析,
  • 查看
  • 10
  • with复合结构,
  • 查看
  • 11
  • 现在分词,there be句型,
  • 查看
  • 12
  • 数词的特殊用法,
  • 查看
  • 13
  • with复合结构,
  • 查看
  • 14
  • 询问,
  • 查看
  • 15
  • 形容词短语,
  • 查看
  • 16
  • 祈使句,
  • 查看
  • 17
  • 副词词义辨析,动词不定式,
  • 查看
  • 18
  • 动词短语,
  • 查看
  • 19
  • 其他介词,
  • 查看
  • 20
  • 询问,
  • 查看
  • 21
  • 说明文,
  • 查看
  • 22
  • 说明文,
  • 查看
  • 23
  • 杰出人物,细节理解,
  • 查看
  • 24
  • 日常生活,细节理解,主旨大意,
  • 查看
  • 25
  • 文化,细节理解,主旨大意,
  • 查看
  • 26
  • 人与社会,
  • 查看
  • 27
  • 简单句,
  • 查看
  • 28
  • 祈使句,
  • 查看
  • 29
  • 简单句,
  • 查看
  • 30
  • 简单句,
  • 查看
  • 31
  • 简单句,
  • 查看
  • 32
  • 简单句,
  • 查看
  • 33
  • 简单句,
  • 查看
  • 34
  • 简单句,
  • 查看
  • 35
  • 简单句,
  • 查看
  • 36
  • 简单句,
  • 查看
  • 37
  • 人与社会,
  • 查看
  • 38
  • 人与社会,细节理解,
  • 查看
  • 39
  • 争辩,
  • 查看
  • 40
  • 日常生活,
  • 查看
视频讲解
温馨提示
视频讲解正在加载中、请等待!
视频解析购买
支付方式
德优币数
本次消耗0德优币
温馨提示

客服电话:400-816-0029,服务邮箱:610066832@qq.com

视频资源

选择考点
存放类型
已选考点

平行组卷卷生成中,请等待

组卷异常提醒
温馨提示
试题篮存在未完成组卷,请前往组卷页面-组卷管理,点击“完成组卷”后,方可修改或添加试卷!