首页 | 客服 | 上传赚现
AI助手
德优题库AI助手

AI助手

搜题▪组卷

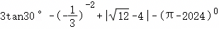
(1)

服务热线

400-816-0029

    自建题库,共享分红

德优题库QQ交流群

共享时间:2024-03-29 难度:4
[考点]
实数的运算,非零数的零指数幂,负整数指数幂,特殊角的三角函数值,
[答案]
见试题解答内容
[解析]
解:
=3×﹣9+(4﹣2)﹣1
﹣9+4﹣2﹣1
=﹣6﹣
[点评]
本题考查了"实数的运算,非零数的零指数幂,负整数指数幂,特殊角的三角函数值,",属于"综合题",熟悉题型是解题的关键。
转载声明:
本题解析属于发布者收集录入,如涉及版权请向平台申诉! !版权申诉
考点说明
灰色代表去掉的考点,绿色代表未变动的考点,红色代表新增的考点
210774. (2025•曲江一中•四模) 计算:
共享时间:2025-04-26 难度:4 相似度:2
291418. (2020•铁一中学•五模) 计算:2﹣1+﹣6tan30°﹣(﹣2020)0
共享时间:2020-05-13 难度:4 相似度:2
6035. (2017•铁一中学•模拟) 计算:|1|+π10+3×cos45°.
共享时间:2017-05-30 难度:2 相似度:2
23278. (2021•师大附中•九上期中) 计算:
(1)|2﹣3|﹣(﹣1)0+(﹣1+
(2)(﹣﹣2﹣2tan45°+4sin60°﹣
共享时间:2021-11-26 难度:3 相似度:2
287650. (2019•益新中学•三模) 计算:+(3﹣π)0﹣(﹣﹣2﹣|sin60°﹣1|.
共享时间:2019-04-08 难度:4 相似度:2
25800. (2024•西北大附中•一模) 计算:()−2+(π−3.14)0−tan45°
共享时间:2024-03-13 难度:2 相似度:2
27749. (2023•航天中学•九上二月) 计算:++2 -   
共享时间:2023-10-10 难度:4 相似度:2
276637. (2023•爱知中学•三模) 计算:
共享时间:2023-04-09 难度:4 相似度:2
278664. (2025•滨河中学•一模) 计算:
共享时间:2025-03-11 难度:4 相似度:2
共享时间:2019-04-15 难度:4 相似度:2
285088. (2022•滨河中学•八模) 计算:(π﹣5)0×(﹣1+tan45°+22×(﹣1)2022
共享时间:2022-06-10 难度:4 相似度:2
287326. (2020•师大附中•八模) 计算:(﹣﹣2﹣(4﹣π)0+6sin45°.
共享时间:2020-06-12 难度:4 相似度:2
287351. (2020•高新一中•六模) 计算:(﹣﹣2+|2﹣|﹣(0﹣2sin60°.
共享时间:2020-05-22 难度:4 相似度:2
287850. (2019•滨河中学•五模) 计算:﹣(2019﹣π)0﹣4cos45°+(﹣﹣2
共享时间:2019-05-04 难度:4 相似度:2
288171. (2018•铁一中学•一模) +|﹣|﹣(﹣2006)0+(﹣1+sin60°.
共享时间:2018-03-05 难度:4 相似度:2

csyn@dyw.com

2024-03-29

初中数学 | | 解答题

  • 下载量
  • 浏览量
  • 收益额
  • 0
  • 11
  • 0
相同试题
试题下载
试题内容
调用试题名称
共享人
唐老师
试题题型
解答题
试题难度
试题题源
2020*西工大*期末
下载次数
168次
下载金币
5德优币(当前结余18德优币)
温馨提示
该试题下载至自主题库后,下载、备课永久免费!
试卷设置
试卷名称
省市校区
阶段科目
年份卷型
选择类型
已选考点
在线训练
视频讲解
温馨提示
视频讲解正在加载中、请等待!
温馨提示
对不起!这是别人共享的试题,需要下载到自主题库后,可将该试题添加到白板
视频解析购买
支付方式
德优币数
本次消耗0德优币
温馨提示

客服电话:400-816-0029,服务邮箱:610066832@qq.com

视频资源

试题找茬
纠错类型
纠错描述
温馨提示
共享试题、试卷经平台审核通过后方可展示,并永久享用用户下载分红权!