首页 | 客服 | 上传赚现
AI助手
德优题库AI助手

AI助手

搜题▪组卷

(1)

服务热线

400-816-0029

    自建题库,共享分红

德优题库QQ交流群

230643. (2025•交大附中•三模) 在矩形ABCD中,AD=2AB=2,连接BD,点E,F分别是边BC,AD上的动点,且BE=AF,分别过点E,F作EM⊥BD,FN⊥BD,垂足分别为M,N,连接AM,AN,则△AMN周长的最小值为        
德优题库
共享时间:2024-12-01 难度:4
[考点]
勾股定理,相似三角形的判定与性质,矩形的性质,轴对称的性质,将军饮马问题,
[答案]
[解析]
解:如图所示,过点AlBD,作AHBD于点H,作点M关于直线l的对称点M,则AMAM',连接MN

AM+ANA'M+AN
根据两点之间线段最短可得线段M'N即为AM+AN的最小值,
四边形ABCD是矩形,
∴∠BAD90°ABAD25


EMBDlBD
MM'⊥BDMM'2AH4
MEx
∵∠BMEDAB90°EBMADB
∴△BEMDBA
,即
BM2x
AFx,则DFADAF
∵∠FNDEMB90°FDNEBM
∴△DFN∽△BEM
,即
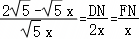
DN42x
MNBDBMDN52x﹣(42x)=1
Rt△MM'N 中,
∴△AMN 周长的最小值为
故答案为:
[点评]
本题考查了"勾股定理,相似三角形的判定与性质,矩形的性质,轴对称的性质,将军饮马问题",属于"压轴题",熟悉考点是解题的关键。
转载声明:
本题解析属于发布者收集录入,如涉及版权请向平台申诉! !版权申诉
25796. (2024•西北大附中•一模) 如图,AC是矩形ABCD的对角线,点F在对角线AC上,连接BF并延长,交AD于点E,若AB=3,AC=5,,则DE的长为        
德优题库
共享时间:2024-03-13 难度:2 相似度:1.6
25725. (2023•西工大附中•六模) 如图,在矩形ABCD中,AB=6,BC=8,点E为AD上一点,且AE=5,过点E作EF⊥AC于F,交BC于点G,则四边形ABGF的面积为        
德优题库
共享时间:2024-03-13 难度:3 相似度:1.4
6108. (2017•西工大附中•模拟) 如图,矩形ABCD的对角线ACBD交于点O,点P是边AD上的一个动点,PEACEPFBDFAC,则PE+PF的最大值为    
德优题库
共享时间:2017-07-21 难度:4 相似度:1.4
21101. (2021•交大附中•九模) 如图,在矩形ABCD中,AB=2BC=10,点E在CD上,CE=2,点F、P分别是AC、AB上的动点,则PE+PF的最小值为        
共享时间:2021-08-10 难度:4 相似度:1.35
25770. (2024•高新一中•五模) 如图,在Rt△ABC中,∠CAB=90°,AB=2AC,D为BC边上的一个动点,连接AD,过点D作DE⊥AD,交边AB于点E.若AC=2,则线段BE的最大值为        
德优题库
共享时间:2024-04-20 难度:4 相似度:1.2
22433. (2021•师大附中•九上一月) 德优题库如图,在矩形ABCD中,点N为边BC上不与B、C重合的一个动点,过点N作MN⊥BC交AD于点M,交BD于点E,以MN为对称轴折叠矩形ABNM,点A、B的对应点分别是G,F,连接EF、DF,若AB=3,BC=4,当△DEF为直角三角形时,CN的长为        
共享时间:2021-10-15 难度:4 相似度:1.2
20150. (2021•西工大附中•四模) 如图,在矩形ABCD中,AB=6,BC=8,直线EF平分矩形ABCD的面积,分别交ADBC于点EF.若点PCD上一点,则△PEF周长的最小值为________.
共享时间:2021-05-31 难度:4 相似度:1.07
6334. (2017•师大附中•模拟) 如图,在矩形ABCD中,AB=3,AD=4,点E是边BC的中点,连接AE,与对角线BD交于点F.点MAD边上的一个动点,连接MFMC,则MF+MC的最小值为     
                                                                                                                                 
共享时间:2017-06-08 难度:4 相似度:0.9
25712. (2023•滨河中学•六模) 如图,在矩形ABCD中,AB=3,AD=4,点E是边BC上的一动点,将△ABE沿着AE折叠得到△AEF,连接DF,点M为DF上的点,且FM=2DM,则CM的最小值为        
德优题库
共享时间:2024-03-13 难度:4 相似度:0.9
4753. (2018•高新一中•模拟) 如图一张长方形纸片ABCD,其长ADa,宽ABbab),在BC边上选取一点M,将△ABM沿AM翻折后BB′的位置,若B′为长方形纸片ABCD的对称中心,则的值为    
                                                                                                                      
共享时间:2018-06-27 难度:4 相似度:0.9
24192. (2017•爱知中学•八下期中) 如图,已知,在矩形ABCD中,AD=4,AB=8,点E,F是边CD上的动点(点F在点E右侧),且EF=2,则四边形ABFE周长的最小值为       
德优题库
共享时间:2017-05-06 难度:4 相似度:0.73
172531. (2024•师大附中•九上一月) 如图,在平行四边形ABCD中,AB=6,BC=8,对角线ACBD相交于点O,在AB的延长线上取点E,使BE=2,连接EOBC于点F,则BF的长为             

共享时间:2024-10-21 难度:2 相似度:0.7
25672. (2023•陕西省•真题) 如图,在矩形ABCD中,AB=3,BC=4.点E在边AD上,且ED=3,M、N分别是边AB、BC上的动点,且BM=BN,P是线段CE上的动点,连接PM,PN.若PM+PN=4.则线段PC的长为        
德优题库
共享时间:2023-07-20 难度:3 相似度:0.7
23276. (2021•师大附中•九上期中) 如图,在▱ABCD中,点E为边CD的中点,点F为边AD上靠近A的三等分点,连接BE、CF相交于点O,若△COE的面积为1,则▱ABCD的面积为        
德优题库
共享时间:2021-11-26 难度:4 相似度:0.7
347. (2012•红星高中•真题) 如图,从点A(0,2)发出一束光,经x轴反射,过点B(4,3),则这束光从点A到点B所经过的路径的长为      
共享时间:2020-07-03 难度:4 相似度:0.7

rorsczsx

2024-12-01

初中数学 | 初三全册 | 填空题

  • 下载量
  • 浏览量
  • 收益额
  • 0
  • 4
  • 0
相同试题
试题下载
试题内容
调用试题名称
共享人
唐老师
试题题型
解答题
试题难度
试题题源
2020*西工大*期末
下载次数
168次
下载金币
5德优币(当前结余18德优币)
温馨提示
该试题下载至自主题库后,下载、备课永久免费!
试卷设置
试卷名称
省市校区
阶段科目
年份卷型
选择类型
已选考点
在线训练
视频讲解
温馨提示
视频讲解正在加载中、请等待!
温馨提示
对不起!这是别人共享的试题,需要下载到自主题库后,可将该试题添加到白板
视频解析购买
支付方式
德优币数
本次消耗0德优币
温馨提示

客服电话:400-816-0029,服务邮箱:610066832@qq.com

视频资源

试题找茬
纠错类型
纠错描述
温馨提示
共享试题、试卷经平台审核通过后方可展示,并永久享用用户下载分红权!